阿摩線上測驗
登入
首頁
>
電子學
>
106年 - 106 鐵路特種考試_高員三級_電力工程、電子工程:電子學#62348
> 申論題
題組內容
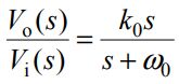
三、圖(三)中的轉移函數為
,
分別為 v
o
及 v
i
的拉式(Laplace) 轉換的變數,試求:
⑵欲得 3 dB 頻率為 2 kHz,若電容 C
1
為 0.01 μF,則電阻 R
1
為多少?(5 分)
相關申論題
一、二極體的半波整流電路如圖(一),二極體 D1的導通電壓為 0.7 V,導通電阻忽略不計, R1 = 100 Ω,vs = 5 sin 377t V。試求二極體在每電源週期導通的角度,輸出電壓 vo 的平均值及流經二極體電流的最大值。(20 分)
#248875
二、運算放大器的電路如圖(二),圖中的運算放大器為理想特性,且 R1 = 5 kΩ , R2 = 10 kΩ,R3 = 10 kΩ,R4 = 20 kΩ,試求 vo與 v1及 v2的關係。(20 分)
#248876
⑴ k0,ω0與 R1, R2, R3及 C1的關係。(15 分)
#248877
四、電晶體放大電路如圖(四),電晶體的電流增益β=100,熱電壓 VT = 25 mV,其餘特性假設為理想。試繪出此放大器的小信號等效電路,並計算電壓增益 vo / v i 。(註:小信號分析時假設 C1及 C2為短路)(20 分)
#248879
⑴寫出 Y 與 A、B 的布林函數(Boolean function)及真值表。(10 分)
#248880
⑵若布林函數Y = ,繪出 NMOS 邏輯電路。(10 分)
#248881
6. 已知下圖疊接放大電路之MOSFET參數K₁=K₂=0.5mA/V²,靜態汲極電流ID為0.5mA,則電路之gm為?
#566892
5. 如圖所示電路,Vi=3.77cos377tV,R=100kΩ,C=1μF,電容電壓初值為零,則輸出電壓Vo為?
#566891
4. 如圖所示電路,若運算放大器具理想特性且Vo=12V,試求電流源I1為?
#566890
3. 如圖所示主動式帶通濾波器,其高頻截止頻率為fH,低頻截止頻率為fL,若C₂=5C₁,R₂=4R₁,則fH/fL為?
#566889
相關試卷
115年 - 115-1 臺北市立大安高工教師甄選試題_電子/控制科:電子學#138452
115年 · #138452
115年 - 115 國營臺灣鐵路股份有限公司從業人員_甄試試題_第10階-助理技術員-電力、電務:電子學概要#138261
115年 · #138261
114年 - 114 地方政府公務特種考試_三等_電力工程、電子工程、電信工程:電子學#134800
114年 · #134800
114年 - 114 地方政府公務特種考試_四等_電力工程、電子工程、電信工程:電子學概要#134742
114年 · #134742
114年 - 114 專技高考_電子工程技師:電子學#133712
114年 · #133712
114年 - 114 公務升官等考試_薦任_電力工程、電子工程、電信工程:電子學#133247
114年 · #133247
114年 - 114 原住民族特種考試_四等_電子工程:電子學概要#130947
114年 · #130947
114年 - 114 專技高考_專利師(選試專業英文及電子學)、專利師(選試專業日文及電子學):電子學#130110
114年 · #130110
114年 - 114 普通考試_電力工程、電子工程、電信工程:電子學概要#128790
114年 · #128790
114年 - 114 高等考試_三級_電力工程、電子工程、電信工程:電子學#128768
114年 · #128768