阿摩線上測驗
登入
首頁
>
國營事業◆自動控制
>
109年 - 109 臺灣菸酒股份有限公司_從業職員及從業評價職位人員甄試_從業職員-電子電機、電機工程學程:自動控制#89252
> 申論題
題組內容
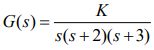
第二題: 考慮一個閉迴路控制系統如【圖二】,其中
,且 K>0,請回答下列問題:
⑵求出根軌跡之漸進線的角度?
相關申論題
⑴請求出系統之特性方程式為何?
#362203
⑵請寫出此系統之羅斯表(Routh Table)為何?
#362204
⑶根據羅斯穩定準則,請求出使系統穩定之 K 的範圍?
#362205
⑴畫出此系統之根軌跡圖?(極點請用 x 標記)
#362206
⑶求出根軌跡之漸進線的交點座標?
#362208
⑴零輸入(zero input)響應及零態(zero state)響應。
#362209
⑵暫態響應及穩態響應。
#362210
⑶請說明此系統是否穩定?理由為何?
#362211
⑴系統是否為可控制性並說明理由。
#362212
⑵系統是否為可觀察性並說明理由。
#362213
相關試卷
113年 - 113 臺灣菸酒股份有限公司_從業職員及從業評價職位人員甄試試題_從業評價職位人員_電子電機:自動控制#133996
113年 · #133996
113年 - 113 臺灣菸酒股份有限公司_從業職員及從業評價職位人員甄試試題_電子電機:自動控制#133977
113年 · #133977
113年 - 113 國營臺灣鐵路股份有限公司_從業人員甄試_第 9 階-技術員-電機:自動控制概要#119067
113年 · #119067
112年 - 112 臺灣菸酒股份有限公司_從業職員及從業評價職位人員甄試_從業職員/機械(中區):自動控制#137443
112年 · #137443
112年 - 112 臺灣菸酒股份有限公司_從業職員及從業評價職位人員甄試試題_電子電機:自動控制#137404
112年 · #137404
112年 - 112 臺灣菸酒股份有限公司_從業職員及從業評價職位人員甄試_從業職員/電子電機:自動控制#118449
112年 · #118449
110年 - 110 臺灣菸酒股份有限公司_從業職員及從業評價職位人員甄試試題_從業職員/機械 :自動控制#111385
110年 · #111385
109年 - 109 桃園國際機場股份有限公司_新進從業人員招募甄選_工程-機械-技術員:自動控制#90579
109年 · #90579
109年 - 109 臺灣菸酒股份有限公司_從業職員及從業評價職位人員甄試_從業職員-電子電機、電機工程學程:自動控制#89252
109年 · #89252
109年 - 109 臺灣菸酒股份有限公司_從業職員及從業評價職位人員甄試_從業職員-機械::自動控制#89103
109年 · #89103