阿摩線上測驗
登入
首頁
>
作業研究
>
96年 - 96 專技高考_交通工程技師:作業研究#33077
> 申論題
題組內容
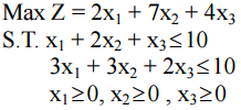
四、考慮下列線性規劃問題:
⑵當利用單體法(simplex method)來求解以上問題,在某一階段已知 x2 與 x3 為基 變數(basic variables),請求出對偶問題的互補基解(Complementary Basic Solution)。(5 分)
相關申論題
三、對於一個非線性規劃問題,請就問題的分類,分別敘述你可能採用的方法,並說明 在何情況下,你所得到的解會是一個最佳解。(20 分)
#79616
⑴利用對偶理論證明主問題(Primal Problem)的最佳目標值不會超過 25。(5 分)
#79617
⑶承上題,請問所求出主問題與對偶問題的基解(Basic Solution),是否分別為該 問題的最佳解?(5 分)
#79619
⑴請構建一階轉換矩陣(One-step Transition Matrix)。(10 分)
#79621
⑵假設該機器已經連續運轉二十天都沒有故障,請問在下次故障發生前,這台機器 還能夠正常運轉幾天?(10 分)
#79622
(三)若此消費性產品的市場有 10,000 名消費者,每位消費者平均一年購買 一次,A, B, C 品牌的單位售價分別為$600, $900, $1,200。請計算長期下來該消費性產品每年的總銷售額為多少?
#560545
(二)計算穩定狀態機率。
#560544
(一)寫出此問題的一階移轉機率矩陣(transition matrix)。
#560543
(四)請求算 A, B, C, D 四個方案分別適用於樂觀指數各為多少的範圍?
#560542
(三)以 Hurwicz 準則(樂觀指數 α = 0.4)求算最佳方案及其預期年收益。
#560541
相關試卷
114年 - 114 地方政府公務特種考試_三等_工業工程:作業研究#134713
114年 · #134713
114年 - 114 專技高考_工業工程技師:作業研究#133680
114年 · #133680
114年 - 114 高等考試_三級_工業工程:作業研究#128750
114年 · #128750
113年 - 113 地方政府公務特種考試_三等_工業工程:作業研究#124521
113年 · #124521
113年 - 113 專技高考_工業工程技師:作業研究#123885
113年 · #123885
113年 - 113 高等考試_三級_工業工程:作業研究#121489
113年 · #121489
112年 - 112 地方政府特種考試_三等_工業工程:作業研究#118325
112年 · #118325
112年 - 112 專技高考_工業工程技師:作業研究#117594
112年 · #117594
112年 - 112 公務升官等考試_薦任_工業工程:作業研究#117328
112年 · #117328
112年 - 112 高等考試_三級_工業工程:作業研究#115450
112年 · #115450