阿摩線上測驗 登入

申論題資訊

試卷:106年 - 106 專技高考_驗船師:造船原理(包括1.船型與噸位2.浮力與穩度3.破損穩度及艙區劃分4.駐塢及下水5.結構及強度6.阻力與推進7.運動與操縱)#62901
科目:造船原理
年份:106年
排序:7

題組內容

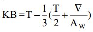
二、一橫斷面為正圓之均勻原木靜浮於淡水池,半徑 4 m、長度 L = 32 m、吃水處寬 B=8m,原木之浮心(VCB)距龍骨 K 之高度,其中 T 為吃水、 ∇為排水體積、為水線面面積,試說明:

申論題內容

⑷此浮木橫向穩度之優劣如何?