題組內容
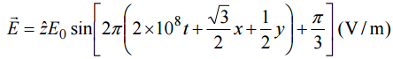
五、有一均勻橫向平面電磁波在一 無窮大的介質內傳播,其電場強度為
,傳播介質的導磁係數為μ0 ,介質
常數為 εr ,時間單位為秒,長度單位為 m,試問:
,傳播介質的導磁係數為μ0 ,介質
常數為 εr ,時間單位為秒,長度單位為 m,試問:
,傳播介質的導磁係數為μ0 ,介質
常數為 εr ,時間單位為秒,長度單位為 m,試問: