阿摩線上測驗
登入
首頁
>
電子學
>
100年 - 100 身心障礙特種考試_三等_電力工程、電子工程:電子學#46156
> 申論題
題組內容
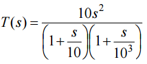
三、若一系統 T(s)之轉移函數為 T
⑴試繪出其增益響應 |T(jω)| 之波德圖(Bode plot)。(10 分)
相關申論題
⑴試求 R1。
#156894
⑵若電路之直流小信號增益大小為 20 dB,試求 R2。
#156895
⑴試求Vo/Ii之直流小信號增益。(10 分)
#156896
⑵試求Vo/Ii之 3dB 頻寬。(10 分)
#156897
⑵試求其低頻 3 dB 頻率點。(10 分)
#156899
⑴試求放大器之輸入阻抗Ri。(10 分)
#156900
⑵試求Vo/Ii=?(10 分)
#156901
五、已知電阻 R 值遠大於場效電晶體之導通電阻,試描述圖⑷(a)與圖⑷(b)邏輯電路之 布林函數。(20 分)
#156902
6. 已知下圖疊接放大電路之MOSFET參數K₁=K₂=0.5mA/V²,靜態汲極電流ID為0.5mA,則電路之gm為?
#566892
5. 如圖所示電路,Vi=3.77cos377tV,R=100kΩ,C=1μF,電容電壓初值為零,則輸出電壓Vo為?
#566891
相關試卷
115年 - 115-1 臺北市立大安高工教師甄選試題_電子/控制科:電子學#138452
115年 · #138452
115年 - 115 國營臺灣鐵路股份有限公司從業人員_甄試試題_第10階-助理技術員-電力、電務:電子學概要#138261
115年 · #138261
114年 - 114 地方政府公務特種考試_三等_電力工程、電子工程、電信工程:電子學#134800
114年 · #134800
114年 - 114 地方政府公務特種考試_四等_電力工程、電子工程、電信工程:電子學概要#134742
114年 · #134742
114年 - 114 專技高考_電子工程技師:電子學#133712
114年 · #133712
114年 - 114 公務升官等考試_薦任_電力工程、電子工程、電信工程:電子學#133247
114年 · #133247
114年 - 114 原住民族特種考試_四等_電子工程:電子學概要#130947
114年 · #130947
114年 - 114 專技高考_專利師(選試專業英文及電子學)、專利師(選試專業日文及電子學):電子學#130110
114年 · #130110
114年 - 114 普通考試_電力工程、電子工程、電信工程:電子學概要#128790
114年 · #128790
114年 - 114 高等考試_三級_電力工程、電子工程、電信工程:電子學#128768
114年 · #128768