阿摩線上測驗
登入
首頁
>
統計學
>
96年 - 96 地方政府特種考試_三等_統計、經建行政、農業行政、交通技術:統計學#49790
> 申論題
申論題
試卷:96年 - 96 地方政府特種考試_三等_統計、經建行政、農業行政、交通技術:統計學#49790
科目:統計學
年份:96年
排序:0
申論題資訊
試卷:
96年 - 96 地方政府特種考試_三等_統計、經建行政、農業行政、交通技術:統計學#49790
科目:
統計學
年份:
96年
排序:
0
題組內容
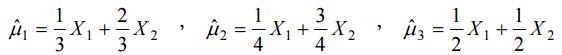
三、設 ( X
1
, X
2
) 為抽自常態母體 N( µ X ,
= 1)之一組樣本大小為 2 的隨機樣本,若有下 2 列三個有關此常態母體平均數 µ X 的估計式
試問:(20 分)
申論題內容
⑵三個母體平均數 µ
X
的估計式中那一個估計式最具估計效率?