阿摩線上測驗 登入

申論題資訊

試卷:95年 - 95 高等考試_三級_農業技術:試驗設計#38610
科目:試驗設計
年份:95年
排序:0

題組內容

四、某農藝學家擬評估由國外引進的三個落花生品種(代碼:I-1, I-2, I-3)之適應性; 試驗時以目前推廣的栽培品種(代碼:CK)為對照。田間布置採取廣義的隨機完全 區集設計(Generalized Randomized Complete Block Design),重複 4 區集:每一區 集劃分為 6 個小區,隨機以其中的 3 個小區栽植對照品種,其餘的 3 個小區則隨機 栽植三個引進品種。收穫時調查各小區的莢果產量(Kg/plot),結果如下:  
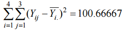
若令 代表對照品種在第 i 區集內的第 j 個重複量測值; . 代表對照品 種在第 i 區集內的 3 個重複量測值的平均;則純淨的試驗誤差平方和(Sum of Squares of Pure Errors)為 

申論題內容

⑵請剔除顯然不適應於該地的 I-3 品種後之數據進行變方分析與品種平均間之最低 顯著差異測驗(LSD)。(10 分)