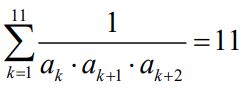
1. 等差數列〈an〉滿足 a7 =1 且公差 d> 0 ,若 ,則公差 d = _______。