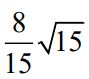
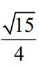
6. 已知△ABC 三邊長成等差數列,設公差 d> 0 。若 △ABC 外接圓半徑R = 、內切圓半徑 r = , 試求公差 d = __________。