所屬科目:電工學(電工原理)
1.在金屬導線中傳導的電流,事實上是由下列何種質點的移動而形成? (A)原子結構 (B)自由電子 (C)原子核 (D)質子
2.在一個與大地絕緣的金屬圓球上充電一段時間後,將電源移開,使金屬圓球獨立,則圓球上的電荷分佈 是如何? (A)會集中在金屬圓球頂部 (B)會集中在金屬圓球中心 (C)會集中在金屬圓球靠近地面處 (D)平均分佈在金屬圓球表面上
3.前題中,會產生正確的電荷分佈是因為下列何種作用力所致? (A)空氣的浮力 (B)金屬的內聚力 (C)牛頓萬有引力 (D)庫倫靜電力
4.有三個電阻分別是 20O 與 30O 與 100O,將這三個電阻串聯後的總電阻為多少歐姆? (A) 150O (B) 130O (C) 120O (D) 100O
5.如果將前題的三個電阻串聯後,外加 300V 的直流電壓,則在 30O 電阻的兩端電壓降為多少? (A) 20V (B) 30V (C) 60V (D) 100V
6.如果先將 20O 與 30O 並聯後,再與 100O 串聯,然後外加入 300V 的電壓源,則總電流為多少安培? (A) 1.57 A (B) 2.00 A (C) 2.68 A (D) 8.06 A
7.如圖 1 所示乾電池 V1原本額定是 1.5 V,但因為使用過而只剩下 1.4 V;乾電池 V2原本額定是 4.5 V,但因為使用過而只剩下 4.0 V,將此兩個乾電池串聯,下列敘述何者正確?
(A)不同電壓的乾電池串聯會引起電池爆炸 (B) (C) (D)
8.有兩個電容器其電容值分別為 C1與 C2,則串聯後之電容值為: (A) C1/C2 (B) 1/C1+1/C2 (C) C1 ×C2 (D)
9.則其電壓與電流的關係如何? (A)電流與電壓同相 (B)電流超前電壓 30°(C)電流落後電壓 60° (D)電流超前電壓 60°
10.前題RL 電路中,以有效值表示的電壓相量及電流相量分別為多少? (A) =156∠0° Vrms V; =10Ð0° rms I A (B)=110∠0° Vrms V; = 7.07∠0° rms I A (C) =110∠30° Vrms V; = 7.07∠ -30° rms I A (D) =110∠ -30° Vrms V; = 7.07∠30° rms I A
10.前題RL 電路中,以有效值表示的電壓相量及電流相量分別為多少?
( A ) =156∠0° Vrms V; =10Ð0° rms I A ( B )=110∠0° Vrms V; = 7.07∠0° rms I A ( C ) =110∠30° Vrms V; = 7.07∠ -30° rms I A ( D ) =110∠ -30° Vrms V; = 7.07∠30° rms I A11.前題RL 電路中,總等效交流阻抗為多少歐姆? (A) 15.56∠- 60° O (B) 15.56∠60° O (C) 10∠60° O (D) 10∠- 60° O
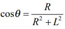
11.前題RL 電路中,總等效交流阻抗為多少歐姆? ( A ) 15.56∠- 60° O ( B ) 15.56∠60° O ( C ) 10∠60° O ( D ) 10∠- 60° O12.前題RL 電路中,功率因數(power factor, 或cos?)的計算為下列何者? (A) (B) (C) (D)
13.在交流電感性的電路中加裝電容器來改善功率因數時,下列何者不是加裝電容器的主要目的? (A)減少線路損失 (B)減少線路的電壓降 (C)減少電費支出 (D)提昇電熱器的加熱效果
14.將v(t)=156sin(100t) V 加到 RLC 串聯電路,R=20O,電感抗=100 O,電容抗=100 O,則流過此串 聯電路R 的電流有效值為多少安培? (A) 5.5 A (B) 7.8 A (C) 0.709 A (D) 0 A
15.圖2 所示的電橋電路中,R1=15O,R2 =10O,R3 =20O,R4 =25O,R5 =5O,R6 =10O, = 50 V, 則流過R4電阻的電流為多少安培?
(A) 0 A (B) 1.11A (C) 2A (D) 1.667A
16.圖2 所示的電橋電路中,流過R1電阻的電流為多少安培?
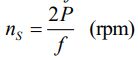
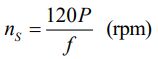
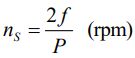
17.有關發電機的轉速nS、磁極數P 與感應電壓的頻率 f 間之關係,下列何者正確? (A) (B) (C) (D)
18.有一個三相、220V、60Hz、6 極的鼠籠式感應電動機,則其旋轉磁場的同步轉速為多少? (A) 12 rpm (B) 22 rpm (C) 2,200 rpm (D) 1,200 rpm
19.前題中,如果滿載時的轉差率(slip)為5%,則該電動機的滿載轉速為多少? (A) 60 rpm (B) 110 rpm (C) 1,140 rpm (D) 2,090 rpm
20.有一個單相變壓器,其規格為11,400/220 V,若將此變壓器調換方向擺置,使低壓側接到 11,400V 的電源, 則就可以在高壓側輸出達 590 kV 的高電壓,這種論述對嗎? (A)沒有問題,變壓器可以降壓使用,自然也可以升壓使用 (B)沒有問題,一般試驗室常用此方法來產生高電壓,以進行高壓試驗 (C)不可以,因為這違反法拉第感應定律 (D)不可以,因為原設計的絕緣耐壓材料絕對無法承受到 590 kV 的破壞
21.在三相四線式 Y 接220/380 V 的供電線路中,常將 Y 接的中性點接地,其目的之一是為了: (A)全世界都是這樣規定的 (B)使中性點處於零電位,各相電壓穩定,不受單相接地故障的影響 (C)可以使得中性線的電流一定是 0 (D)使得三相平衡
22.三相三線式220 V 線路供電給一個三相 220V、50hp 的感應電動機,其滿載運轉時的功率因數為0.8,電動 機效率為 0.8,則其滿載運轉的電流為多少安培? (A) 153 A (B) 212 A (C) 122 A (D) 355 A
23.前題中,為了降低啟動時的電流,一般常用下列何種方法? (A)用另一個啟動馬達來帶動 (B)加裝可變電阻器來啟動 (C)加裝電容器來降壓啟動,可以提高功率因數 (D)採 Y-Δ降壓啟動方法最符合經濟效益 vs
24.佛萊明左手定則用來決定感應電動機的轉動方向時,食指為磁場方向指向 X 軸,則下列敘述何者正確? (A)大姆指是重力方向、中指是導線運動方向 (B)大姆指是電流方向、中指是轉子轉動方向 (C)大姆指是轉子轉動方向、中指是電流方向 (D)大姆指是轉子轉動方向、中指是重力方向
25.安培定律敘述在一個通有電流的線圈,如果右手握住該線圈,右手四隻手指頭的方向為電流方向,則大拇 指所指示的是: (A)電場方向 (B)地心引力的方向 (C)磁場反方向 (D)磁場方向
26.若電流為 2 安培,試問在50 歐姆的電阻器上,所消耗的功率為多少瓦特? (A) 100 瓦特 (B) 150 瓦特 (C) 200 瓦特 (D) 500 瓦特
27.在定值電阻內通過電流,此電流大小與電壓之間成何種關係? (A)電流大小與電壓成正比 (B)電流大小與電壓的平方成正比 (C)電流大小與電壓成反比 (D)電流大小與電壓的平方成反比
28.某電動機在220 伏特的電壓下,取用15 安培的電流,若不計損失,試求其輸出馬力。(算到小數點一位,1 馬力 = 746 瓦特) (A) 14.7 馬力 (B) 4.4 馬力 (C) 1.0 馬力 (D) 0.1 馬力
29.某一日光燈管之額定電壓為 110 伏特,功率為40 瓦特,試問其額定電流為多少安培( A )?(算到小數點兩位) (A) 2.75 A (B) 1.35 A (C) 0.68 A (D) 0.36 A
30.某一白熾燈泡之額定電壓為 110 伏特,功率為 100 瓦特,若電力公司供應的電壓為 105 伏特,請問此燈泡 之實耗功率為多少瓦特(W)? (A) 110.0 W (B) 105.0 W (C) 100.0 W (D) 91.2 W
31.一般金屬物質,溫度越高,電阻值則會: (A)減少 (B)增加 (C)不變 (D)不一定
32.在色碼標示法的電阻器,其色碼為「藍黃橙金」,試問標稱電阻值是多少 O? (A) 46,000O (B) 64,000O (C) 4,600O (D) 6,400O
33.在簡單的電阻電路中,有關並聯電路(parallel circuits)之敘述,下列何者錯誤? (A)總電流等於流經各電阻器的電流之和 (B)流經各電阻器之電壓相等 (C)等效電阻的倒數等於所有個別電阻的倒數之和 (D)等效電阻大於電路中任一個別電阻
34.如圖3 所示之並聯電路,此電路之總電流 I 等於多少安培( A )?(電源 E = 12V, R1 = 8O, R2 = 12O, R3 = 24O)
(A) 1A (B) 2A (C) 3A (D) 4A
35.如圖3 所示之並聯電路,電源E = 12V, R1 = 8O, R2 = 12O, R3 = 24O,電源供給之功率為多少瓦特(W)?
(A) 8W (B) 12W (C) 24W (D) 36W
36.如圖4 所示之串並聯電路,電源 = 24V, R1 = 4kO, R2 = 40kO, R3 = 30kO, R4 = 15kO, R5 = 10kO, R6 = 20kO, 試求電流I1等於多少毫安培(mA)?
(A) 1mA (B) 2mA (C) 3mA (D) 4mA
37.如圖4 所示之串並聯電路,電源 = 24V, R1 = 4kO, R2 = 40kO, R3 = 30kO, R4 = 15kO, R5 = 10kO, R6 = 20kO, 試求電阻 R4的電壓 V4等於多少伏特(V)?
(A) 5V (B) 10V (C) 15V (D) 20V
38.如圖5 所示之電路,電源 = 12V, R1 = 6O, R2 =12 O, R3 = 2O, R4 =2 O,試求如圖6 所示之戴維寧等效電路中,戴維寧等效電阻等於多少歐姆(O)?
(A) 2O (B) 4O (C) 6O (D) 12O
39.三用電表調在 O 檔,範圍選擇開關切換在×100,若指針讀數為 15,則測量值應為: (A) 100O (B) 15O (C) 1.5kO (D) 15kO
40.三用電表調在 DCV 檔,範圍選擇開關切換在 250,若指針在 0 250 刻度讀數為100,則電壓測量值應為: (A) 100V (B) 125V (C) 150V (D) 250V
41.下列何者是電容器(capacitor)之電容量單位? (A)庫侖 (coulomb) (B)伏特 (volt) (C)法拉 (farad) (D)安培 (ampere)
42.在電容器的串聯電路中,下列敘述何者正確? (A)每個電容器上的電荷是相等的 (B)外加電壓等於跨每一個電容器的電壓 (C)於等效電路中,總電容等於每一個電容器的電容量之和 (D)於等效電路中,總電容等於每一個電容器的電容量之倒數的和
43.如圖7 所示之RC 電路,當開關在位置1 時,是直流穩態。在 t = 0 時,將開關移到位置 2,求此電路在 t > 0 時之時間常數T = ?
(A) 0.01 sec (B) 0.05 sec (C) 0.1 sec (D) 0.5 sec
44.有一線圈之匝數 N = 200 匝,磁動勢 F = 500 安匝,試求電流 I 等於多少安培? (A) 200 安培 (B) 500 安培 (C) 0.4 安培 (D) 2.5 安培
45.有關法拉第電磁感應之敘述,下列何者錯誤? (A)通過線圈的磁通量沒有變化,該線圈會有感應電壓 (B)通過線圈的磁通量有變化,該線圈會有感應電壓 (C)感應電壓的大小,與線圈的匝數成正比 (D)感應電壓的大小,與通過線圈磁通量的變化率成正比
46.有一交流電之電流 安培,該電流之有效值為: (A) 10 安培 (B) 377 安培 (C) 7.07 安培 (D) 45 安培
47.有一交流電之電流 安培,則該交流電之頻率為: (A) 10Hz (B) 377Hz (C) 90Hz (D) 60Hz
48.在一個串聯 RC 與交流電壓源之電路,若 R = 1.5kO,C = 10µF,=20sin(100t +30°),以直角座標表示 之總阻抗為: (A) 1,500 – j1,000 O (B) 1,500 + j1,000 O (C) 1,500 – j10 O (D) 1,500 + j10 O
49.在一個串聯RL 與交流電壓源之電路,若R = 2kO,L = 2H, = 10sin(377t),試問電感器之阻抗為: (A) 200O (B) 20O (C) 377O (D) 754O
50.有關一個純電阻性負載之交流電路,下列敘述何者錯誤? (A)電壓與電流同相 (B)功率因素 = 0 (C)功率因素角,? = 0° (D)平均功率與視在功率(apparent power)相等