所屬科目:國營事業◆自動控制
1.假設輸入為 u、輸出為 y,請問下列運算式何者不符合重疊(Superposition)定理? (A),其中 a 為常數(B) y = au + b,其中 a、b 為常數 (C) y = au,其中 a 為常數 (D) y = a,其中 a 為常數
2.某電路系統的輸入為 3·sin(ω0t + 5º) V 時,輸出為 15·sin(w0t + 55º),請問其頻率響應(Frequency Response)在ω =ω0時的相位為: (A) 60º(B) 55º (C) 50º (D) 5º
3.某系統的轉換函數(Transfer Function)經過部分分式展開(Partial Fraction Expansion)之後為 ,試求該轉換函數的零點位置為: (A) 3(B) 1 (C) -1 (D) -3
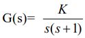
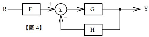
4.如【圖 4】所示的方塊圖(Block Diagram),試求該系統的轉換函數為: (A) (B) (C) (D)
5.某一階系統的轉換函數為 ,試求其脈衝響應(Impulse Response)的時間常數(Time Constant) 為: (A) 2(B) 1 (C) 0 (D)
6.某系統的轉換函數為 ,試求該系統的阻尼比(Damping Ratio)為: (A)0.25(B) 0.5 (C)0.75 (D) 1
11.下列何者屬於領先補償器(Lead Compensator)? (A) (B) (C) (D)
12.某系統的直流增益(DC Gain)需要增加 3 倍,請問下列何者補償器可以滿足此設計需求? (A)(B) (C) (D)
13.某系統的特徵方程式(Characteristic Equation)為 1+ K=0,其中 K≥ 0,在隨 著 K 變化的閉迴路根軌跡中,請問有幾條軌跡的終點是在無窮遠處? (A) 4(B) 3 (C) 2 (D) 1
14.某系統的特徵方程式為,其中 K≥ 0,請問其根軌跡的起點是在哪裡? (A) 0、0(B) 0、- 4 (C) -2、- 2 (D) -4、- 4
15.某系統的特徵方程式為 1 + KG(s) = 0,其中 K ≥ 0,若 s0為根軌跡上的一點,則∠G(s0)應為: (A) 0º(B) 90º (C) 180º (D) - 90º
16.某系統的特徵方程式為s2+6s+ K= 0 ,其中 K≥ 0,若其中一條根軌跡的位置在- 2,請求此時另一 條根軌跡的位置? (A) -2(B) -3 (C) -4 (D) -5
17.一轉換函數 ,當 s = j1 時,試求其在波德圖(Bode Plot)或頻率響應上的角度為: (A) 360º(B) 270º (C) 180º (D) 90º
19.在轉換函數的增益頻率響應圖中,試求頻率 1000 rad/sec 所對應的增益線段斜 率為:(A) - 40 dB/dec (B) - 20 dB/dec(C) 0 dB/dec (D)20 dB/dec
21.某系統的轉換函數,若系統輸入為 2u(t),其中 u(t)為單位步階函數,則該系統輸 出的穩態值為: (A) 6(B) 3 (C) 2 (D) 1
23.某系統的轉換函數為,請問其單位步階響應中的暫態部分振盪頻率為何? (A) 2 rad/sec(B) rad/sec (C) rad/sec (D) 1 rad/sec
24.某負回授系統的順向增益(Forward Gain)為 、回授增益為 K,試求 K 值使該系統的極點 為一對重根? (A)(B) (C) 1 (D)
29.【圖 29】為一個系統的輸入(Input)與輸出(Output)的關係圖,則此系統為何種系統? (A)線性系統(B)非線性系統 (C)多輸入多輸出系統 (D)隨機系統
30.則 C(s)為若干? (A) (B)(C) (D)
31.同上題,若 R(s)= ,G(s)=1,則輸出 的穩態誤差為若干? (A) 0(B) (C) (D) 1
32.同上題,若,則輸出的最終值為若干? (A) 0(B) 1 2 (C) 1 (D) 2 3
33.同上題,若 ,則此系統為幾階(order)的系統? (A) 0(B) 1 (C) 2 (D) 3
34.同上題,若 ,則此系統為何種類型(type)的系統? (A)第 0 類型(type 0)(B)第 1 類型(type 1) (C)第 2 類型(type 2) (D)第 3 類型(type 3)
35.同上題,若,其中 K 為一正的常數,則 K 的值為若干時閉迴路系統有重根? (A) (B)(C) (D)
36.同上題,若且閉迴路系統有重根則: (A)單位步階響應的超振量約為 15% (B)單位步階響應的最終值為 1 (C)單位步階響應的弦波頻率為 rad/sec (D)系統不穩定
38.請用魯斯(Routh)法或其他方法求算下列方程式在右半平面的根之數目: (A) 1(B) 2 (C) 3 (D) 4