所屬科目:一二三等大管輪◆輪機工程與主機
2. 由圖 10-7 所示,船舶於圖中處,船舶處於何種狀態?(A) 船舶將繼續傾側 (B) 船舶保持不動 (C) 傾側力矩大於扶正力矩 (D) 船舶將扶正
4. 參考圖 1 ,以下有關柴油主機超負荷之敘述何者為正確? (A) 負荷超過全負荷速度曲線長期運轉時,會造成超 機械負荷 (B) 負荷超過轉矩限制曲線做長期運 轉則造成超熱負 荷 (C) 負荷在線 6 上方則為超機械負荷 (D) 負荷同時在線 2 與 線 0a 下方則不超過熱負荷與不超過機械負荷
5. 參見圖4,有關低轉速 (n 1 ) 起航的操俥裡,以下那一項敘述不正確? (A) a 點對應的為主機啟動轉速 (B) 起動初期船速為零,主機與螺槳配合點沿螺槳特性曲線1上升 (C) 船速升高時,螺槳特性曲線向左 移 (D) 船速升高時,主 機與螺槳配合曲線沿曲線 3 右移
8. 由圖 6 所示,為空氣壓縮機的 P-V 圖,請問那一曲線壓縮, 需要最少的功? (A) A (B) B (C) C (D) D
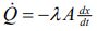
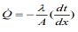
30. 一厚度為dx,表面積為A之薄板,一側之溫度為t,另一側 溫度為(t+dt),λ為材料之導熱度,按傅利葉定律所述, 沿熱流方向x之熱傳遞率具有下述何種關係? (A)(B) (C)(D)
32. 如櫃中同時有油、水及不潔物質等三者混合在一起,且假 定三者皆以直徑 d 的小圓珠存在。且為水比重, 為油比 重,為雜質比重, g 為重力加速度,則其油與雜質間的分 離力應為 (A)(B) (C) (D)