所屬科目:教甄◆建築科/土木科
2.有關下列投影幾何圖形中的敘述,何者不正確? (A)圖① ③ ④之線條均只位於一個象限 中,且圖①為正垂線,圖③④為單斜線 (B)圖② ⑤ ⑥之線條均通過兩個象限,且圖②為 正垂線,圖⑤⑥為單斜線 (C)圖④線段AB之B點在基線上,而圖⑤線段AB之B在第四象限 (D)圖③線段AB之A點在HP水平面上,B點在VP垂直面上
3.下列三視圖中,何者不能成立? (A) (B) (C) (D)
4.有關各種建築圖之圖例符號如表(一)所示,下列敘述何者正確? (A)編號(11)地板落水頭圖示為 ,編號(12)清潔口(地板面) 圖示為 (B)編號(1)自動灑水頭圖示為 ,編號(2)測試出水口之圖示為 ,編號(13)按鈕開關圖示為 (C)編號(3)圖示表 消防送水口,編號(4)圖示表水霧型自動灑水頭,編號(5)圖示表直立型自動灑水頭 (D)編號 (6)圖示表電鈴,編號(8)圖示表雙極開關,編號(15)圖示表出口標燈。
16.於A點整置經緯儀,對測點B、C做水平角單角法觀測,觀測記錄如下表,則∠BAC為何: (A)359°20'01" (B)180°20'32" (C)180°20'38" (D)359°20'32"
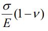
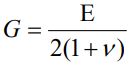
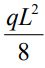
20.下列有關力學之敘述,何者錯誤? (A)材料性質中,彈性係數E、蒲松比ν與剛性模式G三者間之關係式為 (B)設材料雙軸向拉應力均為σ,蒲松比為ν,彈性係數為E, 則其軸向應變為 (C)一長度為L之懸臂梁,梁上全部承受單位均佈負荷q之作用, 則其發生之最大彎矩為 (D)一梁之剪力圖如圖所示 若剪力與彎矩之正 負方向固定,則該梁的彎矩圖可能為 。
5.畫出等角立體圖:(2 分)
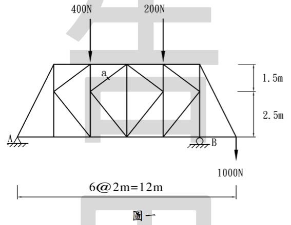
2. 如圖一所示之 K 型桁架,各桿件重量不計,求斜桿 a 桿之內力為多少?(答案請標明“拉力 +”或“壓力-” ) (6 分)
4.如圖二所示之複合梁,其斷面是由 10cm×20cm之木材與 10cm×4cm之鋼板組合而成,兩種材料 之彈性模數,則木材與鋼板之最大拉應力各為多少?(6 分)
5.如圖三,簡支梁上承受均變荷重,求此梁危險斷面上之最大彎矩為多少?(6 分)