所屬科目:1.電路學及電子電路;2.電力系統及電機機械;3.控制系統
7.如【圖 7】所示,電壓增益 為: (A) -1 (B) -2 (C)1(D)2
8.【圖 8】的電路符號為: (A) P 通道加強型 MOSFET (B) N 通道加強型 MOSFET (C) P 通道 JFET (D) N 通道 NFET
11.如【圖 11】的二極體及電阻組成的邏輯閘(gate),此為: (A) OR gate (B) AND gate (C) NAND gate (D) NOR gate
17.三相感應電動機轉子輸入功率為,轉子輸出功率為 Pm,轉子銅損為,轉差率為 S,則 : Pm: 等於下列何者? (A) 1: (1-S) : S (B) (1-S) : 1 : S (C) S : 1 : (1-S) (D) 1 : S : (1-S)
26.相位交越頻率(phase-crossover frequency)是指開迴路轉移函數 G( jω )H( jω )的相位在下列者時的 頻率? (A) 90° (B) 180° (C) - 90° (D) -180°
27.已知為 f (k ) = -2k , k ≥ 0 ,則 f (k ) 的 Z 轉換為: (A) (B) (C) (D)
29.假設轉移函數的分子與分母多項式的次數分別為 m 與 n,則最小相位轉移函數在ω → ∞ 的相位 為: (A) 90°(m - n) (B) - 90°(m - n) (C) 90°(m + n) (D) - 90°(m + n)
30.假設開迴路轉移函數 G( jω )H( jω )的增益邊限為 G.M.、相位邊限為 P.M.,則其閉迴路系統為穩定的條件為: (A) G.M. < 0,P.M. > 0 (B) G.M. < 0,P.M. < 0 (C) G.M. > 0,P.M. < 0 (D) G.M. > 0,P.M. > 0
32.電阻及電感電路如【圖 32】所示,開關 S1 導通前的電感電流初始值為零,開關 S1 導通後的電感 電壓 vL 及電流 iL 時間響應,下列何者正確? (A) (B) (C) (D)
33.某交流負載的端電壓 VL=100sin(377t)V,負載電流 iL = 10sin(377t - 45°)A ,有關相位角及 功率因數,下列敘述何者正確? (A)電流相位落後電壓 45° (B)電壓相位落後電流 45° (C)功率因數約為 0.707 領前 (D)功率因數約為 0.707 滯後
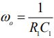
37.【圖 37】中的運算放大器為理想特性,有關此電路之敘述,下列何者正確? (A)為一微分器(B)為一積分器 (C)在 s 域的 (D)在 s 域的
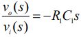
38.【圖 38】中的運算放大器為理想特性,有關此電路之敘述,下列何者正確? (A)為一低通濾波器(low pass filter) (B)為一高通濾波器(high pass filter) (C) 3 dB 的角頻率為 (D) 3 dB 的角頻率為
47.若系統的開迴路轉移函數為 G(s) H ( s) = ,則下列敘述何者正確? (A)零點為:-2, -5 (B)零點為:-4, -10 (C)極點為:-1, -3, -4 (D)極點為:-2, -6, -8
48.某典型二階系統的特性方程式為 s 2 + 3s + 9 = 0 ,該系統的阻尼比(damping ratio) 與自然無阻尼 頻率(natural undamped frequency) ω n 分別為: (A) = 0.707 (B) = 0.5 (C) ωn = 3 (D) ωn = 1
49.已知線性非時變系統的動態方程式為, 則下列敘述何者正確? (A)系統的轉移函數矩陣由 A 、 B 、 C 、 D 決定 (B)系統的特性徵值可由 A 決定 (C)系統的穩定性無法由 A 決定 (D)系統的極點位置與 B 、 D 有關
52.假設系統之閉迴路頻率響應的大小曲線為 M (ω) ,有關控制系統的頻域特性,下列敘述何者正確? (A)尖峰共振是指 M (ω) 的最大值 (B)頻帶寬度(或截止頻率)為 M (ω) 降低至比其零頻率的增益少 5 dB 時的頻率 (C)共振頻率為發生尖峰共振時的頻率 (D)截止率為 M (ω) 在截止頻率時的斜率