所屬科目:1.電路學及電子電路;2.電力系統及電機機械;3.控制系統
4. 某一電路的轉移函數為,則其增益頻寬乘積(gain-bandwidth product)為? (A) 2π MHz (B) 1 MHz (C) 400 kHz (D) 20/π kHz
5. 一增強型 MOSFET 之臨界電壓 = 1 V,K = 0.5 mA/V2 ,gm = 1 mA/V,則應是多少? (A) 2 V (B) 3 V (C) 4 V (D) 5 V
6. 在一交流電路中,倘若電源端量測到 115 的電壓,負載端量測到的則為 125 ,此 結果可能是: (A) 負載功率因數落後所造成 (B) 負載功率因數超前所造成 (C) 電磁輻射干擾所造成 (D) 電磁傳導干擾所造成
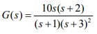
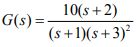
11. 下列何者不是穩定的系統? (A) (B) (C) (D)
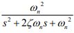
23. 對一典型二階系統特徵方程式而言,下列敘述何者正確? (A) ζ < 0 會使系統不穩定 (B) ζ > 1 則不會有超越量(overshoot) (C) ζ = 0.707 則會有最小的超越量 (D) ωn 與超越量大小無關