阿摩線上測驗
登入
首頁
>
輸送現象與單元操作
> 105年 - 105 地方政府特種考試_三等_化學工程:輸送現象與單元操作#58710
105年 - 105 地方政府特種考試_三等_化學工程:輸送現象與單元操作#58710
科目:
輸送現象與單元操作 |
年份:
105年 |
選擇題數:
0 |
申論題數:
15
試卷資訊
所屬科目:
輸送現象與單元操作
選擇題 (0)
申論題 (15)
【已刪除】
⑴寫出下列方程式各符號(W
p
, H
a
, H
b
與 η)的意義。 (8分)
【已刪除】
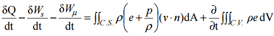
⑵寫出上列方程式係如何從下列方程式推導得到。(18 分)
⑶寫出上項推導時,所做之三個重要假設。 (6分)
⑴材料的平均導熱係數。 (9分)
⑵若該材料的導熱係數符合如下關係: k = k
0
(1+at) 為溫度℃。式中 k
0
及 a 值為若干?(6 分) ,t
⑶寫出此方法量測導熱係數之三種可能誤差。 分) (9
三、有一半徑為 R 之圓管,管內充滿靜止之某一液體,此液體中溶有濃度稀薄之溶質 A, A 依循下式進行擴散:
N
A
= -D
AB
d C
A
/dz
式中 z 為圓管之軸向座標。此管之內壁含有分解 A 之催化劑,其催化分解之速率可 以 kC
A
A
w
表示,其中 k 為一階反應常數,A
w
為管內壁面積。假設管內徑向之濃度梯 度可忽略,請推導描述此系統成分 A 濃度隨時間變化之微分方程式。 (20 分)
⑴蒸餾(distillation)
⑵液相萃取(liquid extraction)
⑶氣體吸收(gas absorption)
⑷乾燥(drying)
⑸篩分(screening)
⑹脫附(desorption)
⑺吸附(adsorption)
⑻結晶(crystallization)
相關試卷
114年 - 114 專技高考_化學工程技師:輸送現象與單元操作#133702
114年 · #133702
113年 - 113 專技高考_化學工程技師:輸送現象與單元操作#123940
113年 · #123940
112年 - 112 地方政府特種考試_三等_化學工程:輸送現象與單元操作#118358
112年 · #118358
112年 - 112 專技高考_化學工程技師:輸送現象與單元操作#117650
112年 · #117650
112年 - 112 高等考試_三級_化學工程:輸送現象與單元操作#115774
112年 · #115774
111年 - 111 專技高考_化學工程技師:輸送現象與單元操作#111981
111年 · #111981
111年 - 111 高等考試_三級_化學工程:輸送現象與單元操作#109267
111年 · #109267
110年 - 110 地方政府特種考試_三等_化學工程:輸送現象與單元操作#104656
110年 · #104656
110年 - 110 專技高考_化學工程技師:輸送現象與單元操作#104247
110年 · #104247
110年 - 110 高等考試_三級_化學工程:輸送現象與單元操作#102792
110年 · #102792