所屬科目:國營事業◆1.統計學 2.巨量資料概論
7. 某一自助餐餐廳的主菜,分成四大類:猪肉、雞肉、海鮮和其他。隨機抽取700位顧客,所 點之主菜結果如下:
想檢定個別的母體比例,依序主菜四大類分別為0.5、0.2、0.2、和0.1,則此檢定的檢定統計 量為何? (A) 23.34 (B) 24.71 (C) 29.94 (D) 36.72
8. 在研究市場報酬率(X)和甲股票報酬率(Y)的一簡單線性迴歸中,有下列的結果:,則估計的迴歸函數為? (A) 3 + 0.25X (B) —3 + 0.25X (C) 0.25 + 3X (D) 0.25 — 3X
11. 在隨機完全區集設計(Randomized complete block design)有 4 個處理分佈在 6 個區集中,下列 為其變異數分析表的部分結果,請問處理和區集的自由度分別為多少? (A) 4;6 (B) 3;6 (C) 4;5 (D) 3;5
16. 下表列示了一組隨機樣本的資料,其相關係數為何? (A) -0.1 (B) 0.1 (C) 0.5 (D) 1
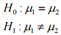
17. 從一組母體中選取68個觀察值為樣本,樣本平均數是1.72、樣本標準差是0.64。另從第二組 母體中選取33個觀察值為樣本,樣本平均數是0.82、樣本標準差是0.48。請進行下列的假設檢定,
並使用顯著水準0.05,下列敘述何者有誤? (A)此為雙尾檢定 (B)自由度為99的T檢定 (C)檢定統計量為 3.15 (D)拒絕H0
20. 已知為多少?(其中Bc為事件B的餘事件) (A) 0.14 (B) 0.21 (C) 0.35 (D) 0.6
45. Spark 的 Word Count程式片段範例如下所示,下列敘述何者有誤?
(A) counts 從頭到尾就是單一個 RDD (B) flatMap() 是依照分隔符號 (" ") 將文字檔分成一個一個的字 (C) map() 將每個字計算一次 (D) reduceByKey() 將相同字的值相加