所屬科目:國營事業◆1.統計學 2.巨量資料概論
1. 下圖顯示自1929年至2019年,奧斯卡金像獎最佳女主角得主的(得獎時)年齡分布。根據此圖 ,得主年齡的平均數與中位數最接近何者? (A)平均數:36;中位數:33 (B)平均數:33;中位數:36 (C)平均數:36;中位數:28 (D)平均數:33;中位數:45
2. 某教授蒐集80位勞工的資料,將他們的時薪(單位:新臺幣)做為應變數,性別做為自變數, 進行迴歸分析。得到結果如下: 其中男性勞工的性別值為1,女性的性別值為0。若重新定義性別變數,讓男性的性別值為0,女 性的性別值為1。使用同一樣本估計迴歸模型,得到的常數值和性別係數值,將分別是多少? (A) 172.7,-11.8 (B) 172.7,11.8 (C) 160.9,-11.8 (D) 160.9,11.8
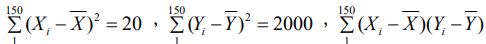
4. 配適一條簡單迴歸模式:Yi =α0 + α1Xi +εi , 其中,εi 服從平均數為 0,標準差為 1 的常態分配,i = 1, 2, … ,150, = 150 ,= 85 , = −180 。請問 ANOVA 表內,MSR 為多少? (A) 16.2 (B) 180 (C) 810 (D) 1620
21. 已知某股票的報酬率服從期望值為µ,標準差為σ 的對數常態分配,則該股票報酬率的期望值為下列何者? (A) µ (B) eµ (C) (D)
23. 已知服從常態分配N(µ , σ),設µ的95 %信賴區間為(L1 , U1),µ的90 %信賴區間為(L2 , U2) ,下列敘述何者正確? (A) L1 < L2 < U2 < U1 (B) L2 < L1 < U2 < U1 (C) L1 < L2 < U1 < U2 (D) L2 < L1 < U1 < U2
24. 為 了 解 房 屋 售 價 (X) 與 面 積 (Y) 之 間 的 關 係 , 隨 機 選 取 12 戶 已 成 交 房 屋 , 所 得 資 料 為,X與Y的相關係數為下列何者? (A) 0.68 (B) 0.73 (C) 0.82 (D) 0.89
33. 使用MapReduce框架來設計一個字數統計(word count)程式,其程式所進行的常用標準程序應 為下列何者? (A) Input → Splitting → Mapping → Shuffling → Reducing → Final Result (B) Input→ Mapping → Splitting → Shuffling → Reducing → Final Result (C) Input → Mapping → Splitting → Reducing → Shuffling → Final Result (D) Input → Reducing → Splitting → Shuffling → Mapping → Final Result