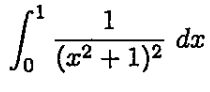
1. Let f be a smooth function on R. (a) If f" > 0 on R, then f' must.be increasing on R.
(b) If f" > 0 on R, then f must be concave upward on R.
(c) If f"(a) = 0, then the point (a, f(a)) must be an infection point.
Among the above three statements, how many of them are true?
(A)Only one.(B) Only two. (C)All of them. (D) None of them.