所屬科目:技師◆冷凍空調自動控制
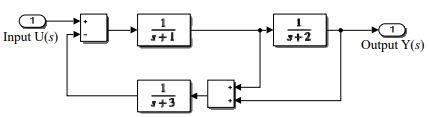
一、請計算下圖從輸入 U(s)到輸出 Y(s)的系統轉移函數。(20 分)
二、下圖的 DDC(direct digital control)控制迴路中各節點代表一個 DDC 控 制器,不同粗細的線路代表不同的網路協定,說明圖中設備 A 需使用路 由器(router)或是橋接器(bridge),並說明其原因。(20 分)