所屬科目:專科學力鑑定◆專(二):機械元件設計
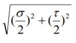
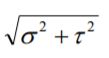
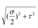
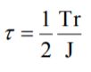
28. 當傳動軸承受彎矩與扭矩的負荷,彎矩M產生法向應力 σ,扭矩T產生剪應力 τ,則負荷 引起的最大剪應力為何值? (A) (B)(C) (D)
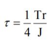
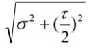
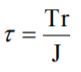
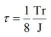
37. 某銲接接頭承受偏心負荷,其施加扭矩為T,如銲道上所關注點至銲道群形心間的距離為r, 銲道群的剖面面積對該銲道群形心的二次極慣性矩為J,則扭矩在銲道產生的剪應力 τ 為下列何式? (A) (B) (C) (D)
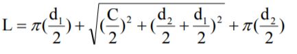
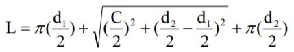
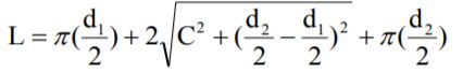
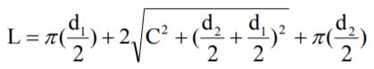
48. 二個三角皮帶輪的節徑分別是 d 1 與 d 2,二皮帶輪間中心距 C,則皮帶長度 L 可由下列 何方程式求得? (A) (B)(C) (D)