所屬科目:專科學力鑑定◆專(二):機械元件設計
11. 一圓形斷面的金屬樑,斷面直徑為 d。若於斷面面積相等的條件下,將圓形斷面改製成 正方形斷面,則其慣性矩為原始圓形斷面的幾倍? (A)(B)(C) (D)
12. 一根長度為2L 的懸臂樑,具直徑為d 之圓形斷面,彈性模數為E,樑的自由端受到一彎矩 M 作用,則自由端的撓度為何? (A) (B)(C)
(D)
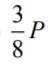
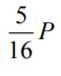
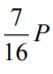
13. 水平放置之靜不定樑,長度為L,樑的一端為固定端(fixed end)且另一端為簡支端(simply supported end )。離固定端L/ 2處施加一向下集中力P 於樑,則簡支端的支撐力為多少? (A) (B) (C) (D)
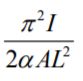
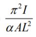
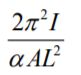
14. 一根長度L 之細長金屬圓柱,兩端鉸接(pinned ends)於不會移動的支撐上,若圓柱材料的 熱膨脹係數為 α,慣性矩為I,斷面面積為A,溫度上升 ΔT 超過多少時該圓柱會發生挫屈? (A) (B) (C) (D)