所屬科目:研究所、轉學考(插大)-高等微積分
1. Assume that sin x is continuous on R , prove that the function
3. (i) Let u = F ( x + g ( y)) . Find .
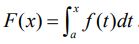
4. (i) Let f be integrable on [a, b] . For x ∈[a, b] , let . Prove that F' x=f( x) whenever f is continuous at x .
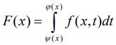
(ii) Given , f ( x, t )dt , find F'( x ) , assuming suitable smoothness conditions on φ ,Ψ and f .
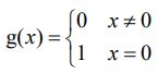
(i) → g pointwise on □ , where
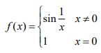
(ii) does not converge uniformly to its limit on □ .
(iii) converges uniformly to its limit on [δ , ∞)