所屬科目:研究所、轉學考(插大)-高等微積分
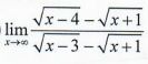
(1)
三、(10%)Showthat cosx≤ex forall x≥0
四、(12%) Show that is uniformly continuous on (0, 1000).
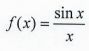
(2) Provethat f integrable on [0.1],then 10%
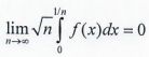
(3) Suppose that f:R-→R is contnuous and .Find F'(x). 5%
六、(16%)Prove that first-order partial derivatives of exist at (0,0), but f is not continuous at (0,0)
七、(14%) Suppose that V is open and connected in Rn, and that is differentiable on V such that is constantin V.