所屬科目:研究所、轉學考(插大)-高等微積分
1. (10 points) Is =R? State your reason.
2. (10 points) Show that = 1.
3. (15 points) Is uniformly continuous on R? Prove your assertion.
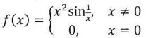
4. (15 points) Show that is a differentiable function on R. Is x =0 the derivative f':R→R a continuous function?
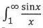
5. (20 points) Show thatdx converges conditionally.
6. (10 points) Let fn:[0,1] →R, , be a sequence of increasing functions, i.e., fn(x) ≤fn(y) for all and n N. Assume that fn Sfnt1 and Ifn(x)I s 1 for all xe [0,1] and neN. Show that fn converges (pointwisely) to an increasing function.
7. (10 points) Can you find a C1 function f:R2 →IR such that Vf(x,y)= (-y,x) for all (x,y)? Find such a function or prove that it does not exist.