所屬科目:研究所、轉學考(插大)-高等微積分
(a) If a sequence in R n is convergent, then it is Cauchy.
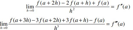
2.(20%) Suppose that f is three times differentiable on an interval containing a . Show that
Can you find the generalization to higher derivatives?
(a)
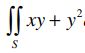
(b)Let S = {( x, y ) : 0 ≤ y ≤ 2, y / 2 ≤ x ≤ 1} . EvaluatedA
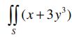
(c) Let S = {( x, y ) : y ≥ 0, x 2 + y 2 ≤ 1} . EvaluatedA