所屬科目:國營事業◆1.熱力學與熱機學 2.流體力學與流體機械
四、如【圖 3】所示的管路系統,為維持本系統的運作,試求離心泵必須提供多少水頭的壓 力?(計算至小數點後第 2 位,以下四捨五入)(20 分) 註:離心泵的特性曲線如【圖 4】,進口管路損失係數 Ke=0.5,彎管管路損失係數 Kb=0.35,出口管路損失係數 Ko=1.0,管路總長度為 1,000 公尺,管徑 40 公分,管路摩擦 係數 f=0.015。
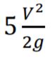
(二)有一離心泵設計用來抽水如【圖 5】所示,試求離心泵可將水抽取的最大高度 H 為多 少公尺? (計算至小數點後第 2 位,以下四捨五入)(11 分) 註:水池自由液面距海平面高度 300 公尺(在 1 大氣壓下,101.3 kPa ),水溫為 30 ℃(水 的飽和蒸汽壓為 4.25 kPa),管路之管徑為 12.7 公分,離心泵的 NPSHR 為 2 公尺,流 量為 0.0375 m3 /sec,總水頭損失為 ℎL = ,其中 V 為管內水流速度,g 為重力加速 度。
六、試求孔徑 15 公分的縮孔(orifice)安裝於管徑為 24 公分內的管路內,如【圖 6】所示,管內 流動的流體為水,但皮氏管內為水銀(水銀比重為 13.6 ),皮氏管兩端水銀的高度差為 25 公分,試求管路內水的流量為多少 m3 /sec?(10 分) 註:在管路內利用縮孔(orifice)並在縮孔兩端裝置皮氏管(Pitot tube)來量測縮孔兩側的壓力 差,可測得管路內流體之流量 Q,Q = K ∙ A0 ∙ ,A0 為縮孔之孔徑面積,K 為流體 之流量係數,本題管路流動條件所查得 K 值為 0.66,g 是重力加速度,∆h 為皮氏管兩端 (縮孔兩側)之壓力差(以水頭表示)。 (計算至小數點後第 2 位,以下四捨五入)