阿摩線上測驗
登入
首頁
>
作業研究
> 108年 - 108 高等考試_三級_工業工程:作業研究#77934
108年 - 108 高等考試_三級_工業工程:作業研究#77934
科目:
作業研究 |
年份:
108年 |
選擇題數:
0 |
申論題數:
10
試卷資訊
所屬科目:
作業研究
選擇題 (0)
申論題 (10)
⑴以簡捷法(Simplex method)的表格型(in tableau form)求最佳解。 (8 分) 依照⑴題所得到的最佳解,進行⑵至⑸四種敏感度分析。 分別各自進行下列⑵至⑸四種敏感度分析(sensitivity analysis)。依據每 一題的改變情況,不要重解題目,而是依照⑴題所得到的最佳解,直接 進行「敏感度分析的步驟」。檢驗經此改變⑴題所得到的最佳解是否仍 是具有可行性(feasibility)及最佳解(optimality)。如果不是,求新的 最佳解。
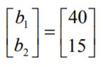
⑵不等式右邊的值改為
(8 分)
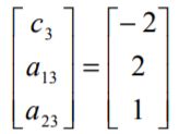
⑶ x
3
欄的數據變更為
(8 分)
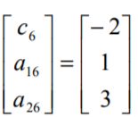
⑷新增加一決策變數 x6 ,該欄的數據為
(8 分)
⑸目標式的數據變更為 Z = 2 x
1
+ 5x
2
+ 2 x
3
(8 分)
⑴定義每一決策變數。(6 分)
⑵定義目標式與每一限制式。(15 分)
三、ABC 公司的勞資雙方,正協商新的「勞動規約」增加時薪。勞資雙方分別 提出「最終的」時薪增加值為 $11 及 $16,勞資雙方陷入僵局了。勞資雙 方同意由仲裁人在 $11 及 $16 之間決定增加時薪的值,含 $11 及 $16。 仲裁人要求勞資雙方各行提出一公平的且又合理的增加時薪的值,以 「元」整數為計算單位。勞資雙方依據經驗,此仲裁人往往接受讓步較 多的一方所提的方案。如果⑴勞資雙方均不變更其所設定的「最終的」 加薪底線,或是⑵雙方讓步的值相等,此時,仲裁人則以雙方所提出的 「最終的」值的中間值做為加薪後的值,即為 ( $11 + $16 ) / 2 = $13.5。 請你利用「兩人賽局,零和遊戲」 (two persons, zero-sum)的賽局理論 (game theory) ,建立此問題的清償矩陣(payoff matrix) ,來分析勞資雙 方加薪的方案,使得各自最為有利。(24 分) 【計分方式:矩陣中的每格資訊得分均等。】
⑴這些狀態可分為那幾個分類(class)?(10 分)
⑵判定每個分類屬於中轉(transit)或重現(recurrent)?(5 分)
相關試卷
114年 - 114 地方政府公務特種考試_三等_工業工程:作業研究#134713
114年 · #134713
114年 - 114 專技高考_工業工程技師:作業研究#133680
114年 · #133680
114年 - 114 高等考試_三級_工業工程:作業研究#128750
114年 · #128750
113年 - 113 地方政府公務特種考試_三等_工業工程:作業研究#124521
113年 · #124521
113年 - 113 專技高考_工業工程技師:作業研究#123885
113年 · #123885
113年 - 113 高等考試_三級_工業工程:作業研究#121489
113年 · #121489
112年 - 112 地方政府特種考試_三等_工業工程:作業研究#118325
112年 · #118325
112年 - 112 專技高考_工業工程技師:作業研究#117594
112年 · #117594
112年 - 112 公務升官等考試_薦任_工業工程:作業研究#117328
112年 · #117328
112年 - 112 高等考試_三級_工業工程:作業研究#115450
112年 · #115450