阿摩線上測驗
登入
首頁
>
作業研究
>
108年 - 108 高等考試_三級_工業工程:作業研究#77934
>
題組內容
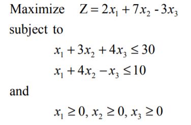
一、下列線性規劃模型:
令 x
4
and x
5
為兩限制式的差額變數(slack variable)。
⑵不等式右邊的值改為
(8 分)
其他申論題
六、乳牛乾乳期之適當長度為多久?如何決定此時間長度?若乾乳期之體態 評分(body condition score)過高會對未來分娩與泌乳有何影響?(15 分)
#316856
⑴基於產酸配合狀況佳,於酸酪乳(Yogurt)製造時,最常使用的兩種 菌酛的組合是什麼?請說明其共同作用對於成品風味與質地之效用。
#316857
⑵請由微生物與主要發酵產物,說明酸酪乳(Yogurt)與克弗爾(Kefir) 兩者的差異。
#316858
⑴以簡捷法(Simplex method)的表格型(in tableau form)求最佳解。 (8 分) 依照⑴題所得到的最佳解,進行⑵至⑸四種敏感度分析。 分別各自進行下列⑵至⑸四種敏感度分析(sensitivity analysis)。依據每 一題的改變情況,不要重解題目,而是依照⑴題所得到的最佳解,直接 進行「敏感度分析的步驟」。檢驗經此改變⑴題所得到的最佳解是否仍 是具有可行性(feasibility)及最佳解(optimality)。如果不是,求新的 最佳解。
#316859
⑶ x3 欄的數據變更為 (8 分)
#316861
⑷新增加一決策變數 x6 ,該欄的數據為 (8 分)
#316862
⑸目標式的數據變更為 Z = 2 x1 + 5x2 + 2 x3 (8 分)
#316863
⑴定義每一決策變數。(6 分)
#316864
⑵定義目標式與每一限制式。(15 分)
#316865
三、ABC 公司的勞資雙方,正協商新的「勞動規約」增加時薪。勞資雙方分別 提出「最終的」時薪增加值為 $11 及 $16,勞資雙方陷入僵局了。勞資雙 方同意由仲裁人在 $11 及 $16 之間決定增加時薪的值,含 $11 及 $16。 仲裁人要求勞資雙方各行提出一公平的且又合理的增加時薪的值,以 「元」整數為計算單位。勞資雙方依據經驗,此仲裁人往往接受讓步較 多的一方所提的方案。如果⑴勞資雙方均不變更其所設定的「最終的」 加薪底線,或是⑵雙方讓步的值相等,此時,仲裁人則以雙方所提出的 「最終的」值的中間值做為加薪後的值,即為 ( $11 + $16 ) / 2 = $13.5。 請你利用「兩人賽局,零和遊戲」 (two persons, zero-sum)的賽局理論 (game theory) ,建立此問題的清償矩陣(payoff matrix) ,來分析勞資雙 方加薪的方案,使得各自最為有利。(24 分) 【計分方式:矩陣中的每格資訊得分均等。】
#316866