所屬科目:研究所、轉學考(插大)-微積分
(a)
(b)
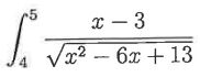
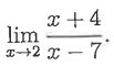
(a) x sec²x dx.
(b)dx.
3. (10 points) Evaluate |(0,1) foru(x,y) = (eˣ - dt.Note: Answer must in numerical expression and natural constants like π, e, ...etc.
4. (10 points) Evaluate |(2,0) foru(x,y) = h(x² + y², 3x – 4y)whereh(s,t) =
5. (10 points) Find the volume of the solid generated by rotating the curvey = sin(x²)over 0 ≤ x ≤ 1 around the y-axis.
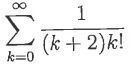
6. (10 points) Evaluate the infinite sumby some manipulations of the Taylor series of f(x) = xeˣ.
7. (10 points) A dog is running along a semi-circular track with radius 1 km incounterclockwise direction with speed 0.1 km per minute (See Figure).Let h be the distance between the dog and point A. Find the rate of change of h at point D, half way between B and C.
8. (10 points) Find (f⁻¹)'(5) forf(x) = x⁵ + 2x³ + 2x.
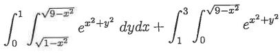
9. (10 points) Evaluatedydx.
10. (10 points) Use Lagrange multiplier to find the extreme value off(x, y, z) = exyzsubject to the constraintx³ - y² + z³ = 24.Also, indicate the value(s) you obtain is (are) maximum or minimum.