所屬科目:研究所、轉學考(插大)-微積分
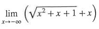
(a) (5 points)
(b) (5 points)
2. (10 points) Find the tangent line to the curve defined by the equation 4x/y = x - y when x = 0.
3. (10 points) Compute the definite integraldydx.
4. (10 points) Find the arc length of the polar curver =θwith 0 ≤ 0 ≤ π.
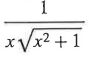
5. (10 points) Find the volume of the solid of revolution about the x-axis bounded by the curvef(x) =with x ∈ [1,0∞).
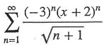
6. (10 points) Consider the power series Find its maximal domain of convergence.
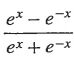
7. (10 points) Recall that the hyperbolic tangent function tanh x=,x∈Ris one to one and has the inverse function f(x) = tanh-1x. Find the Maclaurin series off(x) = tanh-1x.
8. (10 points) Find the absolute maximum of f(x, y) = e-xy on the region x² + 4y² ≤ 1.
9. (10 points) Evaluate the line integraly3dx – x³dy, where C is the circle x² + y² = 8 with positive orientation.
10. (10 points) Let F(x, y, z) = xi + yj – 2zk. Suppose that the closed surface S is defined by the paraboloid y = x² + z² with 0 ≤ y ≤ 1. Find the flux of F outward across S.