所屬科目:研究所、轉學考(插大)-微積分
1. (10%) Find
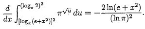
2. (10%) Show that
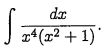
3. (10%) Evaluate
4. (10%) Find the indeinite integral
5. (10%) Evaluate
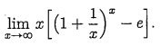
6. (10%) Find a positive integer n such that Explain your answer.
7. (10%) Find the relative extrema of the functionUse the second derivative test when applicable.
8. (10%) Find the maximum and minimum value of the n-variable function a1 +og ....+on subject to the constraint by the method of Lagrange multipliers.
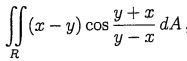
9. (10%) Evaluate the double integral,where R is the trapezoidal region with vertices (1,0), (2,0), (0,-2) and (0, -1). Problem
10: (10%) Find the area of the region bounded by the graphs of the polar equations r=2sinθ,θ= and θ=