阿摩線上測驗
登入
首頁
>
研究所、轉學考(插大)-微積分
> 109年 - 109 國立嘉義大學轉學生招生考試試題:微積分#123558
109年 - 109 國立嘉義大學轉學生招生考試試題:微積分#123558
科目:
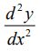
研究所、轉學考(插大)-微積分 |
年份:
109年 |
選擇題數:
0 |
申論題數:
14
試卷資訊
所屬科目:
研究所、轉學考(插大)-微積分
選擇題 (0)
申論題 (14)
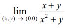
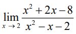
1. 求
=__________。
2. 假設對所有的x ∈ ℝ,f′ (x)<0 且f(2) = 7,f′ (2) = −3,f′ (7) = −4。令g 為 f 之反函數。求g '(7)= _______。
3. 設
18x2 ln(x ) dx= a+be
3
,其中a與b 為整數,則a b + = _______ 。
4. 設
cot
2
(x) dx =p+q π,其中 p 與q為有理數,則 p+q = _______ 。
5. 設函數f(x)=
arctan(e
3t
) dt 。求二次導數 f ''(0)= _________ 。
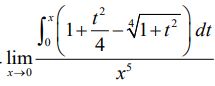
6. 求
=_________ 。
7. 求
|2x=1|dx =___________。
8. 已知x
3
-3x
2
y+2xy
2
=12,求
=_________。
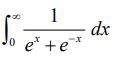
9. 求
= _________ 。
10. 求
=________ 。
1. Given x
2
+y
2
= 36 ,find
?
2. 請判斷級數
是否收斂,並說明你(妳)的理由。
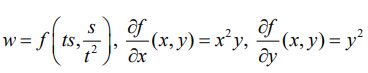
3. 設
。求偏導數
在點 (s ,t)=(-1,1)的值。
4. 求重積分
e-x2-y2
dA的值,其中圓盤D={( x,y)| x
2
+y
2
≤ 4}。
相關試卷
113年 - 113 國立嘉義大學_轉學生招生考試試題_(全校):微積分#122986
113年 · #122986
112年 - 112 國立臺灣大學_碩士班招生考試題:微積分(D)#130254
112年 · #130254
112年 - 112 國立陽明交通大學_碩士班入學招生試題_統計學研究所﹕微積分與線性代數#130252
112年 · #130252
112年 - 112 國立嘉義大學_轉學生招生考試試題:微積分#123297
112年 · #123297
112年 - 臺灣綜合大學系統112 學年度學士班轉學生聯合招生考試試題 微積分A#120563
112年 · #120563
112年 - 112 臺灣聯合大學系統(清華、陽交、中央 聯招)學士班轉學生考試_A3、A4、A6理工組:微積分#117689
112年 · #117689
112年 - 112 臺灣聯合大學系統(清華、陽交、中央三校聯招)學士班轉學生考試_A2商管組:微積分#117687
112年 · #117687
112年 - 112 國立高雄師範大學轉學生招生考試試題_電子工程學系二年級:微積分#116290
112年 · #116290
112年 - 112 國立高雄師範大學_轉學生招生考試試題_電機工程學系二年級:微積分#116289
112年 · #116289
111年 - 111 國立臺北大學_轉學生招生考試試題_經濟學系二年級:微積分#117728
111年 · #117728