所屬科目:研究所、轉學考(插大)-微積分
1.Find
2. If y=, then find
3. If y= with x>0, find
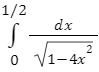
4. Compute
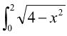
5. Compute
6. If sgn(x) is 1 if x > 0, and -1 if x < 0, find •sgn(x-1)dx.
7. Let f(x)=. Find the Taylor polynomial P2(x) of degree 2 at center c=4. If the solution is written as a+b(x-4)+c(x-4)2 , find a,b,c.
8. If z=x2y+3xy4, where x=sin sint and y=cos cos 2t, find when t=0.
9. Evaluate , D is the region bounded by the line y = x and the parabola y2=2x+8.
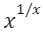
10. Find .