所屬科目:技師◆結構設計
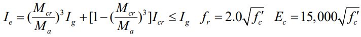
一、簡支矩形梁,跨度 10 m,其斷面寬為b =30 cm,深度h= 55 cm,拉力側 鋼筋為 5 根 D25( As=25.34 cm2 , f y = 4,200 kgf/cm2 ,有效深度 d = 45 cm),忽略壓力側鋼筋,混凝土強度 f'c=280 kgf/cm2 ,此梁承受 含自重之均佈靜載重wD =1.2 tf/m與在梁中央之集中活載重 PL=4.8 tf 。 若此梁是位於一般樓層,且該梁上下方無隔間牆或天花板,試檢核該梁 是否可符合結構混凝土設計規範對撓度之控制(可參考規範表 2.11.2 之 規定)?(25 分) 參考公式:
二、臺灣位處地震帶,建築物結構設計時皆需考量耐震設計,一般 RC 建築 物先經基本結構設計後,梁柱仍需再符合結構混凝土設計規範「第十五 章 耐震設計之特別規定」之耐震細部設計要求。 有一矩形截面柱,若地震引致之柱剪力超過設計剪力之半且此柱設計軸 力小於0.05Agf 'c ,依規範耐震細部設計要求,配置柱全長所需箍筋及繫 筋間距值,請說明柱頭圍束區及柱中央非圍束區之設計,所需箍筋及繫 筋有何特別要求?並比較柱頭圍束區及柱中央非圍束區所需箍筋及繫 筋間距值計算時,依規範要求考量上之相同及不同處為何?(說明即可! 不必計算!)(25 分) 參考公式:
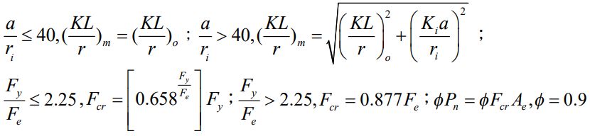
三、有一長度 2438.4 mm ASTM A36 材質(降伏強度與拉力強度之標稱 值分別為 248 MPa 與 400 MPa)鋼構件兩端為鉸接,其斷面由 1 對 L-127x76.2x6.35(mm)角鋼銲接所組成;此 2 個角鋼長邊背對 ( Ki = 0.5 )相距 19 mm,並在構件軸向等距加 2 個銲接(接合距離 a=2438.4/3=812.8 mm)連結。上述單一角鋼最小ri =16.6 mm,而組合 斷面兩軸rx = 41 mm與r y = 33.8 mm。經分析得知,該組合斷面受壓發 生撓曲–扭轉挫屈之應力強度為 185 MPa,而考慮細長肢影響修正後 之有效斷面(Ae)為 2361 mm2。試分析決定該構材有效長細比(KL/r), 並依照載重強度係數設計法(LRFD)計算其受壓強度。(30 分) 參考公式: