所屬科目:技師◆結構設計
一、有一簡支鋼筋混凝土梁,跨度為 8 m。矩形梁斷面寬度 b=40 cm,總深度 h=60 cm。簡支梁全跨承受均佈載重。梁全跨度皆配置 5 支 D25 撓曲拉力 鋼筋與 D13 閉合剪力鋼筋,剪力鋼筋之混凝土淨保護層為 4 cm。D13 剪 力鋼筋的配置如圖所示。混凝土抗壓強度 f'c =280 kgf/cm2,撓曲拉力鋼筋 降伏強度 fy=4200 kgf/cm2,剪力鋼筋降伏強度 =2800 kgf/cm2。試依簡支 梁配置之撓曲鋼筋,計算此梁所能承受之最大設計均佈載重 wu。 (25 分)
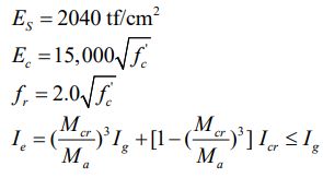
D13 鋼筋之直徑 db=1.27 cm,斷面積 Ab=1.27 cm2。D25 鋼筋之直徑 db=2.54 cm,斷面積 Ab=5.07 cm2。
四、H 型鋼梁通常會設置橫向加勁板,如圖所示。試述橫向加勁板有何功用。 (25 分)