所屬科目:技師◆結構設計
一、如圖所示受撓曲作用之雙筋混凝土矩形梁斷面,採用 5 根 D 25 拉力鋼筋總面積為 As = 25.3 cm 2 ,2 根 D25 壓力鋼筋總面積為 As' = 10.1 cm2 ,鋼筋降伏強度 fy = 4200 kgfcm2 ,混凝土抗壓強度 fc'=280 kgf/cm2,矩形梁寬 b=32 cm,有效深度 d=53 cm。在εc =0.003 的極限狀態下,已知拉力鋼筋應力降伏,求此極限狀態的中性軸 c、彎矩計算強度 Mn 、壓力筋應變ε's及強度折減係數Φ。(25 分)
二、如圖所示一鋼筋混凝土橫箍筋柱斷面,此柱斷面承受軸壓力與 x 向單軸彎矩,柱寬 b= 45 cm,深度 h=50 cm。採用 4 根 D 25 拉力鋼筋及4 根 D 25壓力鋼筋, 一根D25鋼筋之斷面積為5.067 cm2 ,鋼筋降伏強度fy= 4200 kg/cm2, 混凝土抗壓強度 fc'=280 kgf/cm2。已知在εc= 0.003、拉力筋應變εs=0.002的極限狀態下,柱軸壓計算強度Pnb= 230 tf。當柱斷面承受設計軸壓 Pu=195 tf,求此時柱斷面所能承受之最大設計彎矩 M u,已知對應此極限狀態的壓力筋應變為 ε's =0.0023。(25 分)
三、如圖所示有一塊厚度 10 mm 之 A572 Gr. 50 鋼板(降伏強度與抗拉強度的標稱值分別為 345MPa 與 450MPa),先銲接於 A992 材質 W14 ✖90 型鋼柱再與直徑 20 mm 螺栓一起使用以連接 A992 材質 W16✖50 型鋼梁。針對上述鋼板考慮剪力降伏,剪力斷裂與塊狀剪力撕裂,試依 ASD 決定其設計剪力強度。另外,針對鋼構材使用性除撓度與振動,試列舉設計考慮之其它事項。(25 分)
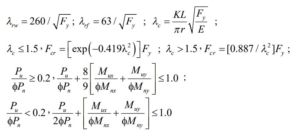
四、有一長度 3 m,上端鉸接下端固接之長方型中空斷面 300✖ 200✖ 9(mm)鋼管梁柱。鋼管 2面交接彎曲部分(或稱 R 角)可以 1.5 倍板厚考慮,經計算分析鋼管斷面積為 84.67 cm2 ,兩軸方向之迴轉半徑分別為11.2 cm 與 8.16 cm,而彈性斷面模數與塑性斷面模數分別為 637 cm3 與834 cm3。鋼材之降伏強度與抗拉強度的標稱值分別為 3.52 tf/cm2 與4.59 tf/cm2,而楊氏係數為 2039 tf/cm2。依 LRFD 設計,考慮使鋼管受壓且通過斷面中心的靜載重 38.5 tf 與活載重 115 tf。試檢討鋼管斷面是否具細長肢材並檢核其抗壓強度設計。若前述鋼管具有足夠的側向支撐,試分析其強軸尚可承受之最大彎矩。 (25 分)參考公式: