所屬科目:技師◆結構設計
一、有一鋼筋混凝土梁的斷面為梯形,如圖所示。梁斷面有效深度 d = 53 cm。斷面為單筋梁設計,配置 5 支 D25 單層拉力鋼筋。混凝土等值矩形應力分布可適用於此梯形斷面。混凝土抗壓強度 ,鋼筋的降伏強度。D25鋼筋之直徑,斷面積。 試計算此梁斷面的彎矩設計強度φMn。
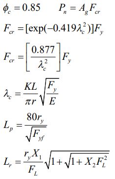
四、如圖所示為一靜不定結構,由一懸臂鋼梁與一斜撐組成。斜撐為角鋼L150 × 150 × 19。鋼梁為熱軋 H 型鋼 H600 × 200 × 11 × 17,為塑性設計斷面,強軸承受彎矩,弱軸有充分的側向支撐。此結構於 B 點承受因數化集中載重 ,經結構分析已知斜撐之軸拉力為 93.56 tf。於 B 點處,鋼梁弱軸方向有鉸支承。斜撐有足夠的強度與剛性。鋼梁與斜撐之鋼材降伏應力 ,彈性模數 E = 2040 tf/cmQ。忽略鋼梁的自重且無需檢核剪力強度,以極限設計法,檢核鋼梁的強度是否滿足設計 需求。