所屬科目:地球物理數學
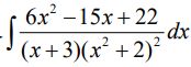
⑵求 。(10分)
⑴若 Φ(x ,y ,z ) =3x2y-y3z2 ,求於點(1, -2, -1)之 ∇ Φ(或gradΦ)。(5分)
⑵若 A = x2 zi-2y3z2j+xy2zk,求於點(1,-1,1) 之∇• Α(或div Α)。(5分)
⑶若 A=xz3 j-2xy2yzj +2yz4k ,求於點(1, -1,1) 之∇✖Α (或curl Α)。(5分)
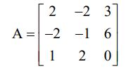
四、試求矩陣A之特徵值及特徵向量。(20分)
五、試求函數 f(x)之傅立葉級數,假設週期為2π 。(20分)
f(x)=|x| (-π<x<π )
六、試求如下之積分,其中c為單位圓(逆時針)。(10分)