阿摩線上測驗
登入
首頁
>
地球物理數學
> 100年 - 100 普通考試_地震測報:地球物理數學概要#45537
100年 - 100 普通考試_地震測報:地球物理數學概要#45537
科目:
地球物理數學 |
年份:
100年 |
選擇題數:
0 |
申論題數:
7
試卷資訊
所屬科目:
地球物理數學
選擇題 (0)
申論題 (7)
一、求 h(t)=cos(at), t > 0 的拉普拉斯轉換(Laplace transform)。(15 分)
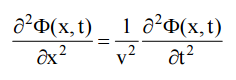
【已刪除】二、下式為速度 v 的波動,於空間 x、時間 t 中的一維波動方程式
求此波動函數 Φ ( x , t ) 。(15 分)
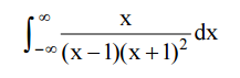
【已刪除】三、請用複變函數方法解出下式的積分。(15 分)
四、設h(t)=Asin(2πf0t),求其富利葉轉換(Fourier transform)的實部和虛部。(15 分)
⑴求其特徵值(eigenvalues)和特徵向量(eigenvectors)。(10 分)
⑵求矩陣指數(Matrix exponent),e
At
。(10 分)
【已刪除】六、設下式拉普拉斯方程式於 z > 0 中成立(例如:重磁測勘), ∇
2
ψ ( x, y, z) = 0 若邊界條件如下:
設 f(x,y)為已知函數(如下圖),請由積分轉換方法(Integral transform method), 解出位勢函數 ψ ( x, y, z) 。(20 分)
相關試卷
113年 - 113 高等考試_三級_地震測報:地球物理數學#121520
113年 · #121520
113年 - 113 普通考試_地震測報:地球物理數學概要#121515
113年 · #121515
110年 - 110 普通考試_地震測報:地球物理數學概要#102209
110年 · #102209
109年 - 109 普通考試_地震測報:地球物理數學概要#88487
109年 · #88487
108年 - 108 普通考試_地震測報:地球物理數學概要#77608
108年 · #77608
107年 - 107 普通考試_地震測報:地球物理數學概要#70667
107年 · #70667
104年 - 104 普通考試_地震測報:地球物理數學概要#42834
104年 · #42834
103年 - 103 普通考試_地震測報:地球物理數學概要#43458
103年 · #43458
102年 - 102 普通考試_地震測報:地球物理數學概要#44281
102年 · #44281
102年 - 102 高等考試_三級_地震測報:地球物理數學#44071
102年 · #44071