所屬科目:高中◆資優◆數學
(2) 計算之值
(1) 證明:若,則 ,且 。
(2) 若a1 = 3, ,請問最少要算到第幾項,才能使 ?
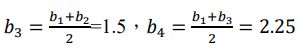
(3) (8 分) 若用二分逼近法,計算出數列 之首 4 項為 b1 = 3,b2 = 0,,以此類推,在0到3區間內尋找√3的有理數近似值。請問數列最少要算到第幾項,才能使?
4. 平面上以單位正三角形的邊互相連接的多邊形稱三角多邊形,例如下圖(1)(2)是由 3 個單 位正三角形鄰接而成的三角多邊形,圖(3)(4)是由 4 個單位正三角形鄰接而成的三角多邊形。=若兩個三角多邊形經過平移或旋轉(不含翻面)後會完全重合就稱彼此全等,例如圖(1)和圖(2)是全 等的,圖(3)和圖(4)則不全等。 請找出所有由 5 個單位正三角形鄰接而成的三角多邊形的不全等類別,並說明你的思路。
(1) 過E點做的平行線,與分別交於F、G。與圓有交點P,試問P 到這兩邊的距離和為多少?
(2) 讓P在圓上移動,請問移到哪個位置,會使P到這兩邊的距離和為最小?
(3) (8 分) 考慮平面上點集
S = {(r1 , r2 )|r1 = f(x, y), r2 = g(x, y), x是實數, y是實數】, 例如點(0,5)屬於s,因為可以取x = −1, y = −1,則0 = f(−1, −1)且5 = g(−1, −1)。 請問下列 6 張圖中的陰影區域,何者是s的圖形?請說明你的理由。