題組內容
1. Fourier transform of a function f(x) is defined by
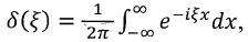
In what follows, you can use the formula
where
is the Dirac delta function.
1. Fourier transform of a function f(x) is defined by
In what follows, you can use the formula
where
is the Dirac delta function.