阿摩線上測驗
登入
首頁
>
研究所、轉學考(插大)-微積分
> 110年 - 110 中央警察大學_碩士班招生考試_消防科學研究所:微積分(同等學力加考)#103021
110年 - 110 中央警察大學_碩士班招生考試_消防科學研究所:微積分(同等學力加考)#103021
科目:
研究所、轉學考(插大)-微積分 |
年份:
110年 |
選擇題數:
0 |
申論題數:
10
試卷資訊
所屬科目:
研究所、轉學考(插大)-微積分
選擇題 (0)
申論題 (10)
⑴ 用u=x-1代換
⑵ 用分部積分 u=x ,dv=√x−1dx
⑶ 比較上述結果
⑴∫|x|−1dx
⑵∫2xdx
⑶∫0dx
三、(一)求由曲線 x
2
−y=0與 x
2
+y=8所圍成之區域面積。
(二) 求心臟線 r=2(1+cosθ)所圍成之區域面積。
四、(一) 若 y=x
2
−4x且 x=√2t
2
+1 ,當 t =2時 , 求 dy/dx?。
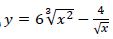
(二) 求 方程式
的圖形 在點 (1, 2)的切線方程式。