所屬科目:研究所、轉學考(插大)-微積分
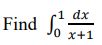
2.
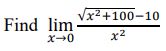
3.
4. Please prove the quotient rule: If f and g are differentiable at x and g(x)≠0, then the quotient f /g is differentiable at x and
5.
6.
8.
10.