題組內容
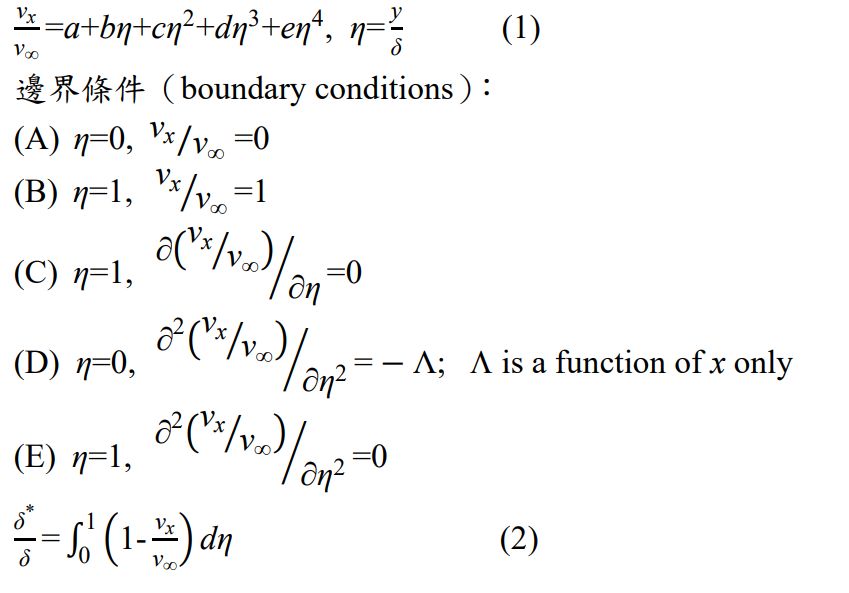
一、邊界層分析:馮卡曼動量均衡(von Karman integral momentum balance)中速度分布可利用四次多項式表示,Eq.(1),此多項式又稱作 Karman-Pohlhousen approximation,邊界層內流速
,x 代表流體流動方向,y 垂直流體流動方向坐標,δ邊界層厚度,a,b,c,d,e 為多項式的係數,邊界層外無限遠處流速

一、邊界層分析:馮卡曼動量均衡(von Karman integral momentum balance)中速度分布可利用四次多項式表示,Eq.(1),此多項式又稱作 Karman-Pohlhousen approximation,邊界層內流速
,x 代表流體流動方向,y 垂直流體流動方向坐標,δ邊界層厚度,a,b,c,d,e 為多項式的係數,邊界層外無限遠處流速
