所屬科目:普通高中學力鑑定-數學
1. 已知所有正整數皆是有理數,且是無理數,試問下列何者為有理數? (A) (B) (C) (D)
2. 試求之值為何? (A) 32 (B) 38 (C) 44 (D) 46
5. 若 a >1 ,有關圖形,下列敘述何者錯誤? (A) 圖形由左而右上升 (B) 一定通過 (1,0) (C) 都在 x 軸上方 (D) 以 x 軸為漸近線
6. 設多項式f(x)=x4-8x3+25x2-30x+8=a(x-2)4+b(x-2)3+c(x-2)2+d(x-2)+e , 則 a+b+c+d+e 之值為何? (A)2 (B)4 (C)6 (D)8
7. 下圖為函數f(x)之圖形,請選出正確的選項。 (A) (B)(C) (D)
10. 下列方程組中,何者解的情形為恰有一組解? (A) (B) (C) (D)
11. 請問下列選項何者為發散數列? (A) (B) (C) (D)
12. 如圖(一)所示,有四筆 ( x y, ) 資料。 試問:去掉哪一筆資料後,剩下來 3 筆資料的相關係數最大? (A) A (B) B (C) C (D) D
1. 若除以 x −1 之餘式為 4,則 a 的值為_______。
2. 在實驗室中進行某種細菌的培養,根據細菌繁殖的特性,每隔相等的時間細菌繁殖的倍率是一樣的,細菌的數量每 經過 1 天後增為原來的 k 倍,已知開始觀察 2 天後細菌數量為 6.25✕104個,5 天後細菌數為4✕106個,則 k =_____。
3. 一等比數列的首項為−8 ,公比為 ,則此等比數列的第十項為_____ 。
4. A(6, −3,1) 、B(1, −8,11) 為空間中兩點, P 在線段上,且=2:3 ,則 P 點坐標為_______。
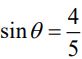
5. 設,且 tanθ<0,則=_______ 。
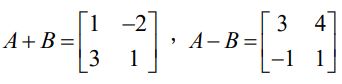
6. 若,則 A =________。
7. 已知 A(2,1)、B(4,3)、C(1,5) 為坐標平面上三點,則△ABC 的面積為_____平方單位。
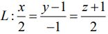
8. 已知空間中一直線 L 的比例式為與空間中一平面 E:3x+2y+z=13 , 則直線 L 與平面 E 的交點座標為________。