阿摩線上測驗
登入
首頁
>
普通高中學力鑑定-數學
> 113年 - 113 自學進修普通型高級中等學校畢業程度學力鑑定考試試題:數學科#123233
113年 - 113 自學進修普通型高級中等學校畢業程度學力鑑定考試試題:數學科#123233
科目:
普通高中學力鑑定-數學 |
年份:
113年 |
選擇題數:
12 |
申論題數:
10
試卷資訊
所屬科目:
普通高中學力鑑定-數學
選擇題 (12)
1. 給定一向量
= (3,4) ,若
平行且|
| =1 ,則
可能為下列哪一個向量? (A) (4,3) (B) (0,1) (C)
(D) (−1,0)
2. 已知方程式x
2
+ y
2
− 4x + 2y + k = 0 的圖形為一個圓,則下列何者為可能 的 k 值? (A) 3 (B) 6 (C) 9 (D) 12
3. 設 a、b 為正實數,如果 loga 的值比 logb 的值多 2,試問 a 是 b 的幾倍? (A) 2 (B) 4 (C) 10 (D) 100
4. 擲一均勻骰子三次,若每出現一次偶數得 5 元,一次奇數得 1 元,則所得總額之期望值為多少元? (A) 7 (B) 8 (C) 9 (D) 10
5. 已知P(3,4,5),請問下列選項何者正確? (A) P 點到xy平面的距離為 7 (B) P 點到x軸的距離為
(C) P 點到原點的距離為 5 (D) P 點在yz平面的投影點為(3,0,0)
6. 已知 B(x , y) 為坐標平面上異於 O(0 , 0),A(2 , 4) 的點,且∠OBA=90°, 則滿足此條件之格子點 (B(x , y) 坐標皆為整數的點)共有幾個? (A) 6 (B) 8 (C) 10 (D) 12
7. 數列<a
n
>滿足 a1 = 4 ,a
n+1
=
,n 為正整數,則下列哪個選項的值也 是 4? (A) a
2022
(B) a
2023
(C) a
2024
(D) a
2025
8. 已知 a、b、c 皆為實數,若 y=ax
2
+bx+c 的圖形如右圖,則下列敘述何者正確?
(A) a< 0 (B) b > 0 (C) c > 0 (D) b
2
− 4ac > 0
9. 若對數 log
x-1
( -x
2
+5x-4),則 x 為下列哪一個數時,會使此對數有意義? (A) 0 (B) 1 (C) 2 (D) 3
10. 三次函數f(x)=2x
3
-6x
2
+6x-2 ,則 f (x) 的對稱中心(反曲點)坐標為何? (A) (−1,0) (B) (1,0) (C) (0,0) (D) (1,1)
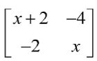
11. 若x為正數,且二階方陣A=
沒有反方陣,則X的值為何? (A) 2 (B) 4 (C) 6 (D) 8
12. 設向量
= (t − 3,2t + 3),向量
= (−1,2),若
,則t=? (A) −1 (B) −2 (C) −3 (D) −4
申論題 (10)
1. 設a, b為正實數,且ab = 32,則a + 2b的最小值為_________
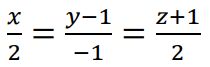
2. 已知空間中一直線 L 的比例式為
與空間中一平面 E:3x + 2y + z = 13,則直線 L 與平面 E 的交點座標為___________
3. 將 8 位同學分成 A、B、C 三個不同的組別,且三組分別由 3 人、3 人、2 人組成,則這 8 位同學總共有幾種分組方式?_____________
4. 已知電流強度 I (安培)與時間 ? (秒)的關係可表示為
I = 10 ×sin(100πt −
π) ,試問當t = 0.06 時,電流強度I為多少安培?________________
5. 箱中有 4 顆紅球和 6 顆白球共 10 顆球。從箱中任取三顆,假設每球被取到 的機會均等,試問取出的三球中至少有一顆是紅球的機率?___________
6. 右圖為一個長方體,
= 3,
= 2,
= 1, 求
長度為___________
7. 已知對任意實數 x, 3x
2
+6x+k的值恆為正數,求實數k的範圍為_________________
8. 已知2x+1是f(x)=2x
3
+ax
2
+1 的因式,求實數 a 的值為______________
9. 設tanθ = −
且 sinθ> 0,則
的值為___________
10. 已知一函數f(x)=(x-1)
2
(x-2)
3
(x-3)(x
2
+x+1) ,則f(x)<0 的解範圍為________________
相關試卷
114年 - 114 自學進修普通型高級中等學校畢業程度學力鑑定考試試題:數學科#137290
114年 · #137290
112年 - 112 自學進修普通型高級中等學校畢業程度學力鑑定考試試題:數學科#116769
112年 · #116769
111年 - 111 自學進修普通型高級中等學校畢業程度學力鑑定考試:數學#111056
111年 · #111056
110年 - 110 自學進修普通型高級中等學校畢業程度學力鑑定考試:數學#103042
110年 · #103042
109年 - 109 自學進修普通型高級中等學校畢業程度學力鑑定考試:數學#93959
109年 · #93959
108年 - 108 自學進修普通型高級中等學校畢業程度學力鑑定考試:數學#79731
108年 · #79731
107年 - 107 自學進修普通型高級中等學校畢業程度學力鑑定考試:數學#83442
107年 · #83442
106年 - 106 自學進修普通型高級中等學校畢業程度學力鑑定考試:數學#70346
106年 · #70346
105年 - 105 自學進修普通型高級中等學校畢業程度學力鑑定考試:數學#64947
105年 · #64947
104年 - 104 自學進修普通型高級中等學校畢業程度學力鑑定考試:數學#55532
104年 · #55532