所屬科目:教甄◆電機科
2. 有一Y接三相四線式平衡電路,相序為逆相序,請問線電壓與相電壓、線電流與相電流的相位及大小關係應為何? (A)線電壓為相電壓倍,且線電壓超前相電壓30° (B)線電流為相電壓倍,且線電流超前相電流30° (C)線電壓為相電壓倍,且線電壓落後相電壓30° (D)線電流為相電壓倍,且線電流落後相電流30°
13. 以下所示的四個輸出特性曲線,何者為P通道E-MOSFET的輸出特性曲線? (A) (B) (C) (D)
14. 有有關直流機之電樞反應,下列何者敘述正確: (A)若為發電機,採用移刷法,需順時鐘移動電刷。 (B)若為發電機,使用補償繞組法,其補償繞組設置於極掌,並與電樞繞組並聯。 (C)若為電動機,採用移刷法,需逆轉向移動電刷。 (D)若為電動機,使用中間極法,其中間極設置於兩主磁極中間,其主磁極(大寫)與中間極(小寫)排列方式為 ,並且中間極繞組與電樞繞組並聯。
19. 三相同步發電機欲作並聯運轉時,下圖中之指示燈需如何,才可將並聯開關投入? (A)L1、L2、L3全亮 (B)L1、L2、L3全熄 (C)L1、L3亮,L2熄 (D)L1、L2熄,L3亮
22. 某磁束,其路徑長3cm,截面積為 ,該物質的相對導磁係數為 , 設磁動勢為900安匝(AT),若無漏磁,則其磁通量為多少Wb? (A) (B) (C) (D)
24. 根據下圖(a)電路與輸出特性曲線下圖(b),若當時開始有汲極電流產生,請問下列有幾個答案是正確的? (甲)=6.5V (乙) =4V (丙)=400Ω (丁)K=1.5mA/V2 (A)1 個 (B)2 個 (C)3 個 (D)4 個。
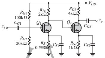
25. 如下圖所示多級極放大電路, (A)Ri = 100kΩ,Ro = 4kΩ (B)Ri = 100kΩ,Ro = 1kΩ (C)Ri = 17kΩ,Ro = 4kΩ (D)Ri = 20kΩ,Ro = 1kΩ
28. 5kVA,2200/220V,60Hz之變壓器,作開路及短路試驗,其數據如下: 求功率因數為 0.8 時之半載鐵損及功率因數為 1 時之半載銅損為何? (A)183W,86W (B)183W,66W (C)155W,66W (D)155W,86W。
2. ,若Vi(t) = cos(t) V,且,求Vo(t)= _______ 。(3分)
4. 如下圖所示,若已知鐵芯的平均長度為 5 米,試求鐵芯內的磁場強度為多少?_________(安匝/米)(3 分)
(1)=_____
(2)=_____
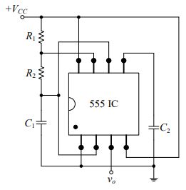
6. 如下圖所示,若 R1選用紅紅橙金、R2選用綠棕橙金、C1選用的陶瓷電容規格為 103、C2選用的陶瓷電容規格為 104、請問 vo週期 T 為多少秒 T=_____ms 。(3 分,計算結果取到小數點第 2 位)
7. 如下圖所示,求總功率增益 Po=_____mW。(3 分)
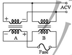
9. 如下圖所示,為變壓器極性試驗之熔絲法,若保險絲燒斷,則B變壓器應為_____極性。(2分)
(1)鐵心於高壓側的參數(3分)
(2)繞組於高壓側的參數(3分)
三、證明題 1. 請分析下圖樞密特震盪電路,並繪製(2分)與vo(2分)波形圖(各需繪製2個完整週期),及推導出震盪週期。(3分)