所屬科目:教甄◆電機科
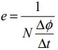
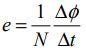
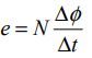
1. 法拉第定律(Faraday’s law)的感應電勢 、線圈匝數N及穿越線圈的磁通量對時間的 變化 ,下列何者正確? (A)(B)(C)(D)
18. 甲乙兩位同學昨日在電工機械工場,以20kVA,2000/200V,60Hz 之單相變壓器,分別作開路及短路試驗,試驗結束後兩位同學將其數據整理如下:
試判斷該變壓器在考量滿載時總損失的數據是依據表格內那些實驗的可直接加總組合判斷? (A)開路試驗甲與短路試驗甲 (B)開路試驗乙與短路試驗甲 (C)開路試驗甲與短路試驗乙 (D)開路試驗乙與短路試驗乙
23. 已知每相阻抗為10∠30˚Ω的Y型負載,電源線電壓有效值為200V,試求此負載消耗的總實功率為多少瓦特? (A) 2000 (B) 2000(C) 6000 (D) 6000
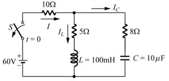
27. 如下圖所示電路,開關S接通並達穩態,在t = 0時再將開關S打開,則在開關 S 打開後之瞬間I,值各為多少? (A) I = 4A,IL = 5A,IC = 4A,VC =25V,VL =32V (B) I = 0A,IL = 4A,IC = 0A,VC =20V,VL =0V (C) I = 4A,IL = 5A,IC = 0A,VC =25V,VL =0V (D) I = 0A,IL = 4A,IC = −4A,VC =20V,VL =−32V
28. 如下圖所示,分路電流為 (A) 1:2:1 (B) 1:2:2 (C) 2:1:2 (D) 2:2:1
29. 如下圖的電路中ZL的輸出最大功率為多少? (A) 12W (B) 24W (C) 36W (D) 48W
31. 如下圖電路,流過電阻2kΩ的電流I為 (A) – 3.6毫安培 (B) – 4毫安培 (C) 3.6毫安培 (D) 4毫安培
35. 如下圖所示,若β = 200、= 0.7V,求約等於多少? (A) 8.8V (B) 6.8V (C) 3.8V (D) 1.8V
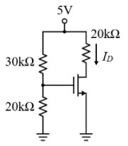
36. 如下圖所示之MOSFET電路,若 mA,求直流電壓 VDS值為多少? (A) 5V (B) 4V (C) 3V (D) 2V
37. 如下圖所示,OPA為理想運算放大器,且Vo(sat) 為18 V,求VC兩端電壓為何? (A)= 36 V (B)= 18V (C)= 12 V (D)= 6 V
38. NPN電晶體三端電壓關係如下說明,下列敘述何者正確? (A)時,NPN電晶體工作於主動模式 (B)時,NPN電晶體工作於反向主動模式 (C) 時,NPN電晶體工作於截止區模式 (D)時,NPN電晶體工作於飽和區模式
40. 如下圖電路,則工作週期約為 (A)25% (B)33.3% (C)50% (D)66.7%
3. 如下圖所示,在 60Hz 時其等效輸入阻抗 Zin = 30+j60 Ω,當頻率提升為 120Hz 時,則等效輸入阻抗 Zin =?
4. 如下圖電路,在VGS=0時,測出的ID=9mA,當VGS增至-4.5V時,ID=0,求此JFET 在VGS=-1.5V時的ID值為多少mA?